Science Wiki

Δευτεροβάθμιος Αλγεβρική Εξίσωσις

algebraic Equation


 Δευτεροβάθμια Αλγεβρική Εξίσωση

Δευτεροβάθμια Αλγεβρική Εξίσωση

 Δευτεροβάθμια Αλγεβρική Εξίσωση

Δευτεροβάθμια Αλγεβρική Εξίσωση

 Δευτεροβάθμια Αλγεβρική Εξίσωση

Δευτεροβάθμια Αλγεβρική Εξίσωση

 Δευτεροβάθμια Αλγεβρική Εξίσωση

Δευτεροβάθμια Αλγεβρική Εξίσωση

 Δευτεροβάθμια Αλγεβρική Εξίσωση

Δευτεροβάθμια Αλγεβρική Εξίσωση

 Δευτεροβάθμια Αλγεβρική Εξίσωση

Δευτεροβάθμια Αλγεβρική Εξίσωση

Διακρίνουσα

Διακρίνουσα

 Δευτεροβάθμια Αλγεβρική Εξίσωση

Δευτεροβάθμια Αλγεβρική Εξίσωση

 Δευτεροβάθμια Αλγεβρική Εξίσωση

Δευτεροβάθμια Αλγεβρική Εξίσωση

 Δευτεροβάθμια Αλγεβρική Εξίσωση

Δευτεροβάθμια Αλγεβρική Εξίσωση

 Δευτεροβάθμια Αλγεβρική Εξίσωση

Δευτεροβάθμια Αλγεβρική Εξίσωση

 Δευτεροβάθμια Αλγεβρική Εξίσωση

Δευτεροβάθμια Αλγεβρική Εξίσωση

 Δευτεροβάθμια Αλγεβρική Εξίσωση

Δευτεροβάθμια Αλγεβρική Εξίσωση

 Δευτεροβάθμια Αλγεβρική Εξίσωση

Δευτεροβάθμια Αλγεβρική Εξίσωση

Εξίσωση
Ανίσωση
Εξισώσεις
Μαθηματικές Εξισώσεις
Αλγεβρική Εξίσωση
Διαφορική Εξίσωση
Άλγεβρα
Μαθηματικά

 Δευτεροβάθμια Αλγεβρική Εξίσωση

Δευτεροβάθμια Αλγεβρική Εξίσωση

 Δευτεροβάθμια Αλγεβρική Εξίσωση

Δευτεροβάθμια Αλγεβρική Εξίσωση

 Δευτεροβάθμια Αλγεβρική Εξίσωση

Δευτεροβάθμια Αλγεβρική Εξίσωση

 Δευτεροβάθμια Αλγεβρική Εξίσωση

Δευτεροβάθμια Αλγεβρική Εξίσωση

 Δευτεροβάθμια Αλγεβρική Εξίσωση

Δευτεροβάθμια Αλγεβρική Εξίσωση

- Μία Πολυωνυμική Εξίσωση δευτέρου βαθμού.

Ετυμολογία[]

Η ονομασία "Αλγεβρική" σχετίζεται ετυμολογικά με την λέξη "Άλγεβρα".

Περιγραφή[]

Γενική Μορφή[]

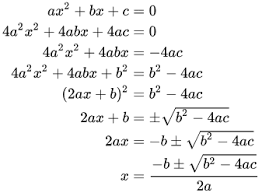
Η γενική μορφή μιας δευτεροβάθμιας εξίσωσης είναι:

όπου:

  • Οι πραγματικοί αριθμοί a, b' και c ονομάζονται συντελεστές,
  • Ο αριθμός a είναι ο συντελεστής του x2,
  • Ο αριθμός b είναι ο συντελεστής του x
  • Ο αριθμός c είναι ο σταθερός όρος.

Γενική Λύση[]

Κάθε δευτεροβάθμια εξίσωση έχει δύο λύσεις (ή διαφορετικά ρίζες) στο πεδίο των μιγαδικών αριθμών που μπορεί να είναι είτε διαφορετικές ή ίσες (οι δύο λύσεις συμβολίζονται εδώ με και ).

Οι λύσεις μιάς δευεροβάθμιας εξίσωσης δίνονται από τον τύπο:

Διακρίνουσα[]

Η παράσταση ονομάζεται διακρίνουσα (σύμβολο ) της εξίσωσης και λέγεται έτσι γιατί χρησιμοποιείται για να διακρίνουμε τρεις ποιοτικά διαφορετικές λύσεις τις εξίσωσης.

Περιπτώσεις Λύσεων[]

Διακρίνουμε τις παρακάτω περιπτώσεις:

  • 1. Η Διακρίνουσα είναι θετική. Η εξίσωση έχει δύο λύσεις διαφορετικές που είναι και οι δύο πραγματικές. Γεωμετρικά, αυτό σημαίνει ότι η παραβολή που αντιστοιχεί στην εξίσωση τέμνει τον άξονα των x σε δύο σημεία.

Επιπλέον αν η διακρίνουσα εκτός από θετική είναι και τέλειο τετράγωνο, οι λύσεις της εξίσωσης είναι και οι δύο ρητοί αριθμοί και η εξίσωση μπορεί να αναλυθεί σε γινόμενο δύο παραγόντων.

Οι δύο πραγματικες λύσεις είναι οι:

, και
  • 2. Η Διακρίνουσα είναι ίση με μηδέν. Η εξίσωση έχει μια διπλή ρίζα που είναι επιπλέον και πραγματική. Γεωμετρικά, αυτό σημαίνει ότι η παραβολή εφάπτεται με τον άξονα των x, σε ένα σημείο. Αυτό συβαίνει γιατί αν η διακρίνουσα είναι μηδέν η τετραγωνική ρίζα που έχει πρόσημο το +/- εξαφανίζεται και παραμένει έτσι μία μόνο λύση, η οποία είναι η εξής:
Μια δευτεροβάθμια εξίσωση με διακρίνουσα μηδέν μπορεί να παραγοντοποιηθεί σε τέλειο τετράγωνο.
  • 3. Η Διακρίνουσα είναι αρνητική. Η εξίσωση έχει δύο διαφορετικές λύσεις που είναι όμως και οι δύο μιγαδικοί αριθμοί. Επιπλέον οι δύο λύσεις είναι μεταξύ τους συζυγείς μιγαδικές. Γεωμετρικά, αυτό σημαίνει ότι η παραβολή ούτε τέμνει ούτε εφάπτεται με τον άξονα των x, για την ακρίβεια δεν έχει κανένα κοινό σημείο με αυτόν. Αν βγάλουμε ως κοινό παράγονα από την τετραγωνική ρίζα το τότε οι δύο συζυγείς λύσεις είναι οι:
, και
Μια δευτεροβάθμια εξίσωση με διακρίνουσα αρνητική δεν μπορεί να παραγοντοποιηθεί.

Οι τύποι του Viète[]

Οι τύποι του Viète δίνουν απλές σχέσεις μεταξύ των ριζών ενός πολυωνύμου και των συντελεστών του. Στην περίπτωση των δευτεροβάθμιων εξισώσεων παίρνουν την ακόλουθη μορφή:

, και

Αν συμβολίσουμε με το άθροισμα των ριζών μιας δευτεροβάθμιας εξίσωσης και με το γινόμενό τους τότε κάθε δευτεροβάθμια εξίσωση γράφεται και ώς εξής:

όπου

, και

Υποσημειώσεις[]

Εσωτερική Αρθρογραφία[]

Βιβλιογραφία[]

Ιστογραφία[]


Ikl Κίνδυνοι ΧρήσηςIkl

Αν και θα βρείτε εξακριβωμένες πληροφορίες
σε αυτήν την εγκυκλοπαίδεια
ωστόσο, παρακαλούμε να λάβετε σοβαρά υπ' όψη ότι
η "Sciencepedia" δεν μπορεί να εγγυηθεί, από καμιά άποψη,
την εγκυρότητα των πληροφοριών που περιλαμβάνει.

"Οι πληροφορίες αυτές μπορεί πρόσφατα
να έχουν αλλοιωθεί, βανδαλισθεί ή μεταβληθεί από κάποιο άτομο,
η άποψη του οποίου δεν συνάδει με το "επίπεδο γνώσης"
του ιδιαίτερου γνωστικού τομέα που σας ενδιαφέρει."

Πρέπει να λάβετε υπ' όψη ότι
όλα τα άρθρα μπορεί να είναι ακριβή, γενικώς,
και για μακρά χρονική περίοδο,
αλλά να υποστούν κάποιο βανδαλισμό ή ακατάλληλη επεξεργασία,
ελάχιστο χρονικό διάστημα, πριν τα δείτε.



Επίσης,
Οι διάφοροι "Εξωτερικοί Σύνδεσμοι (Links)"
(όχι μόνον, της Sciencepedia
αλλά και κάθε διαδικτυακού ιστότοπου (ή αλλιώς site)),
αν και άκρως απαραίτητοι,
είναι αδύνατον να ελεγχθούν
(λόγω της ρευστής φύσης του Web),
και επομένως είναι ενδεχόμενο να οδηγήσουν
σε παραπλανητικό, κακόβουλο ή άσεμνο περιεχόμενο.
Ο αναγνώστης πρέπει να είναι
εξαιρετικά προσεκτικός όταν τους χρησιμοποιεί.

- Μην κάνετε χρήση του περιεχομένου της παρούσας εγκυκλοπαίδειας
αν διαφωνείτε με όσα αναγράφονται σε αυτήν

IonnKorr-System-00-goog



>>Διαμαρτυρία προς την wikia<<

- Όχι, στις διαφημίσεις που περιέχουν απαράδεκτο περιεχόμενο (άσεμνες εικόνες, ροζ αγγελίες κλπ.)