Science Wiki

Κλασσική Ηλεκτροδυναμική

Classical Electrodynamics


Κλασσική Ηλεκτροδυναμική

Κλασσική Ηλεκτροδυναμική
Κβαντική Ηλεκτροδυναμική

Φυσική
Φυσικοί Γης Νόμοι Φυσικής Νόμοι Φυσικής Θεωρίες Φυσικής Πειράματα Φυσικής Παράδοξα Φυσικής

  Κλασσική Ηλεκτροδυναμική

Εξισώσεις Maxwell Κλασσική Ηλεκτροφυσική Κλασσική Ηλεκτροδυναμική Ηλεκτρομαγνητισμός Ηλεκτρικό Πεδίο Μαγνητικό Πεδίο Ηλεκτρομαγνητικό Πεδίο Ηλεκτρικό Φορτίο Ηλεκρικό Ρεύμα Ηλεκτρικό Φορτόρρευμα

, ο θεμελιωτής της Κλασσικής Ηλεκτροδυναμικής.

Maxwell James, ο θεμελιωτής της Κλασσικής Ηλεκτροδυναμικής.

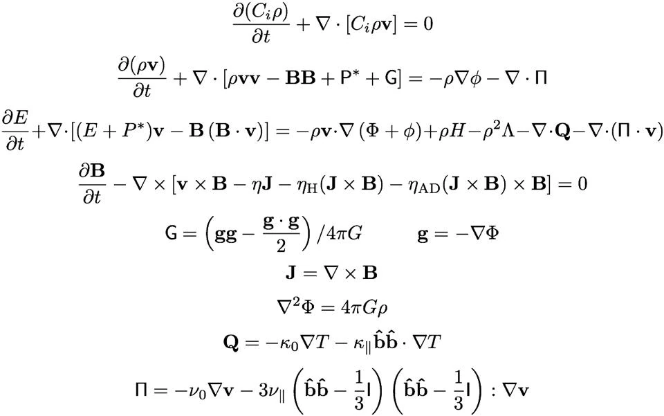
Μαγνητοϋδροδυναμική

- Ένας Επιστημονικός Κλάδος της Φυσικής.

Ετυμολογία[]

Η ονομασία "Ηλεκτροδυναμική" σχετίζεται ετυμολογικά με την λέξη "δυναμική".

Εισαγωγή[]

The covariant formulation of classical electromagnetism refers to ways of writing the laws of classical electromagnetism (in particular, Maxwell's equations and the Lorentz force) in a form which is "manifestly covariant" (i.e. in terms of covariant four-vectors and tensors), in the formalism of special relativity. These expressions both make it simple to prove that the laws of classical electromagnetism take the same form in any inertial coordinate system, and also provide a way to translate the fields and forces from one frame to another.

The Minkowski metric used in this article is assumed to have the form diag (+1, −1, −1, −1). The purely spatial components of the tensors (including vectors) are given in SI units. This article uses the classical treatment of tensors and the Einstein summation convention throughout. Where the equations are specified as holding in a vacuum, one could instead regard them as the formulation of Maxwell's equations in terms of total charge and current.

For a more general overview of the relationships between classical electromagnetism and special relativity, including various conceptual implications of this picture, see the article: Classical electromagnetism and special relativity.

Covariant objects[]

Electromagnetic tensor[]

Πρότυπο:Main The electromagnetic tensor is the combination of the electric and magnetic fields into a covariant antisymmetric tensor. In volt·seconds/meter2, the field strength tensor is written in terms of fields as[1]:

and the result of raising its indices is

όπου:
is the electric field intensity,
the magnetic field intensity, and
the speed of light.
Caution: The signs in the tensor above depend on the convention used for the metric tensor. The convention used here is +---, corresponding to the metric tensor :

Four-Current[]

Πρότυπο:Main The four-current is the contravariant four-vector which combines electric current and electric charge density. In amperes/meter2, it is given by

where is the charge density, is the current density, and is the speed of light.

Ηλεκτρομαγνητικό Δυναμικό[]

In volt·seconds/meter, the electromagnetic four-potential is a covariant four-vector containing the electric potential and magnetic potential, as follows:

where is the scalar potential and is the vector potential.

Η σχέση Ηλεκτρομαγνητικής Έντασης και Ηλεκτρομαγνητικού Δυναμικού δίνεται από την ακόλουθη εξίσωση:

όπου:

Electromagnetic stress-energy tensor[]

The electromagnetic stress-energy tensor is a contravariant symmetric tensor which is the contribution of the electromagnetic fields to the overall stress-energy tensor. In joules/meters3, it is given by

όπου:
is the electric permittivity of vacuum,
is the magnetic permeability of vacuum,
is the Poynting vector.

and the Maxwell stress tensor is given by

The electromagnetic stress-energy tensor is related to the electromagnetic field tensor by the equation:

where is the Minkowski metric tensor. Notice that we use the fact that

Other, non-electromagnetic objects[]

Πρότυπο:Main For background purposes, we present here three other relevant four-vectors, which are not directly connected to electromagnetism, but which will be useful in this article:

  • In meters, the "position" or "coordinate" four-vector is
where is the (three-vector) velocity and is the Lorentz factor associated with
  • In kilogram·meters/second, the four-momentum (or momentum four-vector) of a particle is
where is the (three-vector) momentum, is the energy, and is the particle's rest mass.

Maxwell's equations in vacuo[]

Πρότυπο:Main In a vacuum (or for the microscopic equations, not including macroscopic material descriptions) Maxwell's equations can be written as two tensor equations

where is the electromagnetic tensor, is the 4-current, is the Levi-Civita symbol (a mathematical construct), and the indices behave according to the Einstein summation convention.

The first tensor equation is an expression of the two inhomogeneous Maxwell's equations, Gauss's Law and Ampere's Law (with Maxwell's correction). The second equation is an expression of the homogeneous equations, Faraday's law of induction and Gauss's law for magnetism.

In the absence of sources, Maxwell's equations reduce to a wave equation in the field strength:

where,

is the d'Alembertian operator.

Other notation[]

Without the summation convention or the Levi-Civita symbol, the equations would be written

where all indices range from 0 to 3 (or, more descriptively, ranges over the set {ct,x,y,z}), where is the speed of light in free space. The first tensor equation corresponds to four scalar equations, one for each value of . The second tensor equation actually corresponds to different scalar equations, but only four of these are independent.

For convenience, professionals often write the 4-gradient (that is, the derivative with respect to x) using abbreviated notations; for instance,

Using the latter notation, Maxwell's equations can be written as and

Continuity equation[]

The continuity equation which expresses the fact that charge is conserved is:

Lorentz force[]

Πρότυπο:Main Fields are detected by their effect on the motion of matter. Electromagnetic fields affect the motion of particles through the Lorentz force. Using the Lorentz force, Newton's law of motion can be written in relativistic form using the field strength tensor as[2]

where is the four-momentum (see above), is the charge, is the four-velocity (see above), and is the particle's proper time.

In terms of (normal) time instead of proper time, the equation is

In a continuous medium, the 3D density of force combines with the density of power to form a covariant 4-vector, The spatial part is the result of dividing the force on a small cell (in 3-space) by the volume of that cell. The time component is 1/c times the power transferred to that cell divided by the volume of the cell. The density of Lorentz force is the part of the density of force due to electromagnetism. Its spatial part is . In manifestly covariant notation it becomes:

Differential equation for electromagnetic stress-energy tensor[]

The relationship between Lorentz force and electromagnetic stress-energy tensor should be:

Therefore, The electromagnetic stress-energy tensor (defined above) satisfies the following differential equation, relating it to the electromagnetic tensor and the current four-vector

or

which expresses the conservation of linear momentum and energy by electromagnetic interactions.

Lorenz gauge condition[]

Πρότυπο:Main

The Lorenz gauge condition is a Lorentz-invariant gauge condition. (This can be contrasted with other gauge conditions such as the Coulomb gauge, which if it holds in one inertial frame will generally not hold in any other.) It is expressed in terms of the four-potential as follows:

Maxwell's equations in the Lorenz gauge[]

In the Lorenz gauge, Maxwell's equations for a vacuum can be written as:

where denotes the d'Alembertian.

Bound current[]

Πρότυπο:Dubious

In order to solve the equations of electromagnetism given here, it is necessary to add information about how to calculate the electric current, Frequently, it is convenient to separate the current into two parts, the free current and the bound current, which are modeled by different equations.

where

The bound current is derived from the magnetization and electric polarization which form an antisymmetric contravariant magnetization-polarization tensor[1]

which determines the bound current

If this is combined with we get the antisymmetric contravariant electromagnetic displacement tensor which combines the electric displacement and the H-field as follows

They are related by

which is equivalent to the constitutive equations and And the result is that Ampère's law, , and Gauss's law, , combine to form:

The bound current and free current as defined above are automatically and separately conserved

Thus we have reduced the problem of modeling the current, to two (hopefully) easier problems — modeling the free current, and modeling the magnetization and polarization, For example, in the simplest materials at low frequencies, one has

where one is in the instantaneously-comoving inertial frame of the material, σ is its electrical conductivity, χe is its electric susceptibility, and χm is its magnetic susceptibility.

Lagrangian for classical electrodynamics[]

In a vacuum, the Lagrangian (Lagrangian density) for classical electrodynamics (in joules/meter3) is

In the interaction term, the four-current should be understood as an abbreviation of many terms expressing the electric currents of other charged fields in terms of their variables; the four-current is not itself a fundamental field.

The Euler-Lagrange equation for the electromagnetic Lagrangian density can be stated as follows:

Noting , The expression inside the square bracket is

The second term is

Therefore, the electromagnetic field's equations of motion are

Separating the free currents from the bound currents, another way to write the Lagrangian density is as follows:

Using Euler-Lagrange equation, the equations of motion for can be derived.

The equivalent expression in non-relativistic vector notation is

In general relativity[]

Πρότυπο:Main In general relativity, the metric, , is no longer a constant () but can vary from place to place and time to time. In general relativity, the equations of electromagnetism in a vacuum become:

where is the density of Lorentz force, is the reciprocal of the metric tensor , and is the determinant of the metric tensor. Notice that and are (ordinary) tensors while , , and are tensor densities of weight +1. All derivatives are partial derivatives — if one replaced them with covariant derivatives, the extra terms thereby introduced would cancel out.

Τομείς[]

Εξισώσεις Maxwell

Ηλεκτροστατική[]

Μαγνητοστατική[]

Ηλεκτρομαγνητικό Πεδίο[]

  • Πεδία εξαρτώμενα από το χρόνο
  • Εξισώσεις Maxwell
  • κυματική Εξίσωση ηλεκτρομαγνητικού πεδίου
  • Ηλεκτρομαγνητική ενέργεια,
  • μετασχηματισμοί βαθμίδας.
  • συστήματα μονάδων
  • χρήσεις των συναρτήσεων του Green στην ηλεκτρομαγνητική θεωρία.

Ειδική Θεωρία Σχετικότητας[]

  • Μετασχηματισμοί Lorentz για ηλεκτρικά και μαγνητικά πεδία.
  • Συναλλοίωτη μορφή εξισώσεων Maxwell.
  • Σχετικιστικές εξισώσεις κίνησης σωματιδιακού φορτίου.
  • Κίνηση σε ομογενή μαγνητικά ή ηλεκτρικά πεδία.
  • Ακτινοβολία σχετικιστικά κινουμένου φορτίου.

Υποσημειώσεις[]

  1. 1,0 1,1 Vanderlinde, Jack (2004), classical electromagnetic theory, Springer, σελ. 313–328, ISBN 9781402026997, http://books.google.com/books?id=HWrMET9_VpUC&pg=PA316&dq=electromagnetic+field+tensor+vanderlinde 
  2. The assumption is made that no forces other than those originating in E and B are present, that is, no gravitational, weak or strong forces.

Εσωτερική Αρθρογραφία[]

Βιβλιογραφία[]

  • "Foundations of Classical Electrodynamics: Charge, Flux, and Metric", Friedrich W Hehl, Yuri N. Obukhov

Ιστογραφία[]


Ikl Κίνδυνοι ΧρήσηςIkl

Αν και θα βρείτε εξακριβωμένες πληροφορίες
σε αυτήν την εγκυκλοπαίδεια
ωστόσο, παρακαλούμε να λάβετε σοβαρά υπ' όψη ότι
η "Sciencepedia" δεν μπορεί να εγγυηθεί, από καμιά άποψη,
την εγκυρότητα των πληροφοριών που περιλαμβάνει.

"Οι πληροφορίες αυτές μπορεί πρόσφατα
να έχουν αλλοιωθεί, βανδαλισθεί ή μεταβληθεί από κάποιο άτομο,
η άποψη του οποίου δεν συνάδει με το "επίπεδο γνώσης"
του ιδιαίτερου γνωστικού τομέα που σας ενδιαφέρει."

Πρέπει να λάβετε υπ' όψη ότι
όλα τα άρθρα μπορεί να είναι ακριβή, γενικώς,
και για μακρά χρονική περίοδο,
αλλά να υποστούν κάποιο βανδαλισμό ή ακατάλληλη επεξεργασία,
ελάχιστο χρονικό διάστημα, πριν τα δείτε.



Επίσης,
Οι διάφοροι "Εξωτερικοί Σύνδεσμοι (Links)"
(όχι μόνον, της Sciencepedia
αλλά και κάθε διαδικτυακού ιστότοπου (ή αλλιώς site)),
αν και άκρως απαραίτητοι,
είναι αδύνατον να ελεγχθούν
(λόγω της ρευστής φύσης του Web),
και επομένως είναι ενδεχόμενο να οδηγήσουν
σε παραπλανητικό, κακόβουλο ή άσεμνο περιεχόμενο.
Ο αναγνώστης πρέπει να είναι
εξαιρετικά προσεκτικός όταν τους χρησιμοποιεί.

- Μην κάνετε χρήση του περιεχομένου της παρούσας εγκυκλοπαίδειας
αν διαφωνείτε με όσα αναγράφονται σε αυτήν

IonnKorr-System-00-goog



>>Διαμαρτυρία προς την wikia<<

- Όχι, στις διαφημίσεις που περιέχουν απαράδεκτο περιεχόμενο (άσεμνες εικόνες, ροζ αγγελίες κλπ.)