Science Wiki

Λογάριθμος

Logarithm


Logarithm-01-goog

Λογάριθμος

Logarithm-05-goog

Λογάριθμος

Exponents-logs-01-goog

Λογάριθμος
Εκθετικό

Logarithms-Exponents-01-goog

Λογάριθμος
Εκθετικό

Logarithms-Derivative-01-goog

Λογάριθμος
Παραγώγιση

Logarithm-06-goog

Λογάριθμος

Logarithm-08-goog

Λογάριθμος

Logarithm-11-goog

Λογάριθμος

Logarithms-Naturalness-01-goog

Λογάριθμος

- Μία μαθηματική συνάρτηση.

Ετυμολογία[]

Η ονομασία "Λογάριθμος" σχετίζεται ετυμολογικά με την λέξη "αριθμός".

Περιγραφή[]

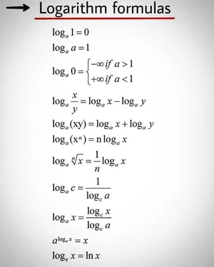
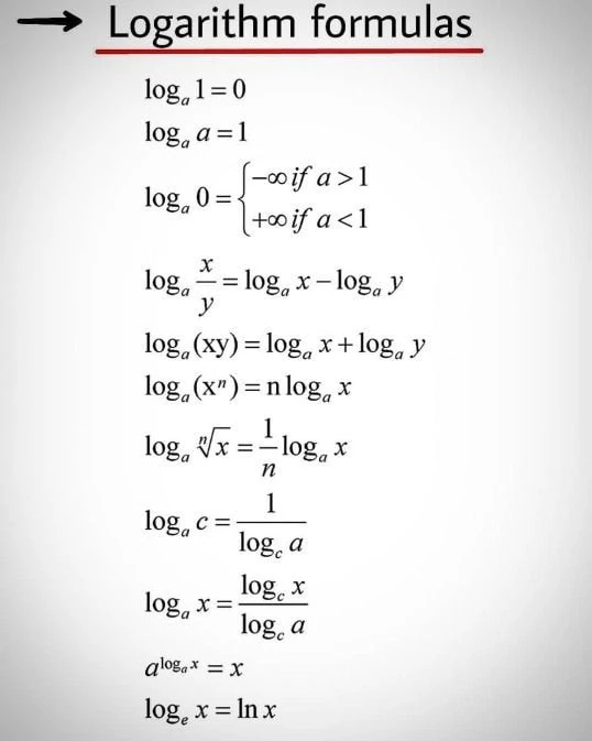
Ο λογάριθμος ενός θετικού αριθμού α είναι ο εκθέτης της δύναμης (μίας δεδομένης βάσης) στην οποία πρέπει να υψωθεί η βάση αυτή, για να δώσει τον αριθμό.

Αν η βάση είναι ο αριθμός 10 τότε ο λογάριθμος λέγεται δεκαδικός.

Αν η βάση είναι ο αριθμός e τότε ο λογάριθμος λέγεται νεπέρειος ή φυσικός.

Ιδιαίτερης σημασίας είναι η λογαριθμική συνάρτηση.

Στα μαθηματικά, ο λογάριθμος (στη βάση b) ενός αριθμού x γράφεται και ισούται με τον εκθέτη y που ικανοποιεί την εξίσωση x = by.

Με άλλα λόγια, η εξίσωση

είναι ισοδύναμη με την εξίσωση

Η βάση b πρέπει να είναι διαφορετική από 0 και 1 (και από τη ρίζα του 1 στην περίπτωση που επεκτείνουμε στους μιγαδικούς αριθμούς, για τον μιγαδικό λογάριθμο), και συνήθως είναι 10, e, ή 2.

Όταν το x και το b περιορίζονται να είναι θετικοί πραγματικοί αριθμοί, ο λογάριθμος είναι μοναδικός πραγματικός αριθμός.

Για παράδειγμα, αφού

ή, με άλλα λόγια, ο λογάριθμος με βάση 3 του 81 είναι 4.

Ο λογάριθμος ως συνάρτηση[]

Η συνάρτηση logb(x) εξαρτάται τόσο από το b όσο και από το x, αλλά ο όρος λογαριθμική συνάρτηση συνήθως αναφέρεται σε μια συνάρτηση της μορφής logb(x) στην οποία η βάση b είναι σταθερή και το μόνο όρισμα είναι το x. Επομένως, υπάρχει μια συνάρτηση λογαρίθμου για κάθε τιμή της βάσης b (η οποία πρέπει να είναι θετική και διαφορετική του 1).

Έτσι, η λογαριθμική συνάρτηση με βάση b είναι η Αντίστροφη Συνάρτηση της Εκθετικής συνάρτησης bx.

Η λέξη "λογάριθμος" χρησιμοποιείται συχνά τόσο για να αναφορά σε μια λογαριθμική συνάρτηση, όσο και για συγκεκριμένες τιμές της συνάρτησης αυτής.

Ακέραιοι και μη-ακέραιοι εκθέτες[]

Logarithm-10-goog

Ισομορφισμός στους λογάριθμους

Εαν n είναι ένας θετικός Ακέραιος Αριθμός, bn αναπαριστά το γινόμενο n παραγόντων ίσων με b:

Παρ' όλα αυτά, εάν το b είναι θετικός πραγματικός αριθμός διαφορετικός του 1, ο ορισμός μπορεί να επεκταθεί σε κάθε πραγματικό αριθμό n σε ένα πεδίο .

Ομοίως, η Λογαριθμική Συνάρτηση μπορεί να οριστεί για κάθε θετικό πραγματικό αριθμό. Για κάθε θετική βάση b διάφορη του 1, υπάρχει μια λογαριθμική συνάρτηση και μια Εκθετική Συνάρτηση, οι οποίες είναι αντίστροφες μεταξύ τους.

Οι λογάριθμοι μπορούν να ανάγουν

Επομένως, οι λογάριθμοι είναι χρήσιμοι στο να κάνουν δύσκολους αριθμητικούς υπολογισμούς ευκολότερους, και, πριν την ανακάλυψη των ηλεκτρονικών υπολογιστών, έτυχαν διαδεδομένης χρήσης σε τομείς όπως η Αστρονομία, η Μηχανική, η Ναυσιπλοΐα και η Χαρτογραφία. Έχουν σημαντικές μαθηματικές ιδιότητες που χρησιμοποιούνται πολύ ακόμη και σήμερα.

Ταξινομία[]

Οι βάσεις που συνήθως χρησιμοποιούνται σε λογαρίθμους είναι το 10, η μαθηματική σταθερά e ≈ 2.71828... και το 2. Γράφοντας "log" χωρίς βάση (το b λείπει από το logb), συνήθως η βάση εννοείται και γίνεται προφανής από τα συμφραζόμενα:

  • Φυσικός Λογάριθμος (loge, ln, log, or Ln) στη Μαθηματική Ανάλυση, την Στατιστική, την Οικονομία και στην Φυσική.
  • Δεκαδικός Λογάριθμος (log10 ή απλά log, ορισμένες φορές και lg) στην Μηχανική και όταν λογαριθμικοί πίνακες χρησιμοποιούνται για να απλοποιήσουν υπολογισμούς.
  • Δυαδικός Λογάριθμος (log2, ορισμένες φορές και lg ή lb) στην Θεωρία Πληροφορίας και μουσικά διαστήματα.
  • "Απροσδιόριστος Λογάριθμος" όταν η βάση δεν έχει σημασία, π.χ. στη Θεωρία Πολυπλοκότητας περιγράφοντας την ασυμπτωτική συμπεριφορά αλγορίθμων με το συμβολισμο "O" .

Για την αποφυγή προβλημάτων, είναι καλή πρακτική να ορίζεται η βάση του λογαρίθμου όταν υπάρχει περίπτωση παρερμηνείας.

Υποσημειώσεις[]

Εσωτερική Αρθρογραφία[]

Βιβλιογραφία[]

Ιστογραφία[]


Κίνδυνοι Χρήσης

Αν και θα βρείτε εξακριβωμένες πληροφορίες
σε αυτήν την εγκυκλοπαίδεια
ωστόσο, παρακαλούμε να λάβετε σοβαρά υπ' όψη ότι
η "Sciencepedia" δεν μπορεί να εγγυηθεί, από καμιά άποψη,
την εγκυρότητα των πληροφοριών που περιλαμβάνει.

"Οι πληροφορίες αυτές μπορεί πρόσφατα
να έχουν αλλοιωθεί, βανδαλισθεί ή μεταβληθεί από κάποιο άτομο,
η άποψη του οποίου δεν συνάδει με το "επίπεδο γνώσης"
του ιδιαίτερου γνωστικού τομέα που σας ενδιαφέρει."

Πρέπει να λάβετε υπ' όψη ότι
όλα τα άρθρα μπορεί να είναι ακριβή, γενικώς,
και για μακρά χρονική περίοδο,
αλλά να υποστούν κάποιο βανδαλισμό ή ακατάλληλη επεξεργασία,
ελάχιστο χρονικό διάστημα, πριν τα δείτε.



Επίσης,
Οι διάφοροι "Εξωτερικοί Σύνδεσμοι (Links)"
(όχι μόνον, της Sciencepedia
αλλά και κάθε διαδικτυακού ιστότοπου (ή αλλιώς site)),
αν και άκρως απαραίτητοι,
είναι αδύνατον να ελεγχθούν
(λόγω της ρευστής φύσης του Web),
και επομένως είναι ενδεχόμενο να οδηγήσουν
σε παραπλανητικό, κακόβουλο ή άσεμνο περιεχόμενο.
Ο αναγνώστης πρέπει να είναι
εξαιρετικά προσεκτικός όταν τους χρησιμοποιεί.

- Μην κάνετε χρήση του περιεχομένου της παρούσας εγκυκλοπαίδειας
αν διαφωνείτε με όσα αναγράφονται σε αυτήν

IonnKorr-System-00-goog



>>Διαμαρτυρία προς την wikia<<

- Όχι, στις διαφημίσεις που περιέχουν απαράδεκτο περιεχόμενο (άσεμνες εικόνες, ροζ αγγελίες κλπ.)