Science Wiki

Μήτρα

Matrix, πίνακας


   Μαθηματική Μήτρα

Γραμμική Άλγεβρα
Μαθηματική Μήτρα

Μηδενική Μήτρα
Μοναδιαία Μήτρα
Διαγώνια Μήτρα
Τριγωνική Μήτρα
Τριδιαγώνια Μήτρα
Συζυγής Μήτρα
Ανάστροφη Μήτρα
Συμμετρική Μήτρα
Αντισυμμετρική Μήτρα
Προσαρτημένη Μήτρα
Ερμιτιανή Μήτρα
Ανθερμιτιανή Μήτρα
Κανονική Μήτρα
Αντίστροφη Μήτρα
Μοναδιακή Μήτρα
Ορθογώνια Μήτρα
Ίχνος Μήτρας
Ορίζουσα Μήτρας
Μητραϊκή Πρόσθεση
Μητραϊκός Πολλαπλασιασμός
Μητραϊκή Σύνθεση
Μητραϊκή Αναπαράσταση

Μαθηματική Μήτρα  μαθηματικός πίνακας

Μαθηματική Μήτρα
μαθηματικός πίνακας

Μαθηματική Μήτρα

Μαθηματική Μήτρα

Μαθηματική Μήτρα

Μαθηματική Μήτρα

Μαθηματική Μήτρα

Μαθηματική Μήτρα

Μαθηματική Μήτρα

Μαθηματική Μήτρα
Μιγαδική Συζυγής Μήτρα
Ανάστροφη Μήτρα
Ερμιτιανή Μήτρα

Μαθηματική Μήτρα

Μαθηματική Μήτρα

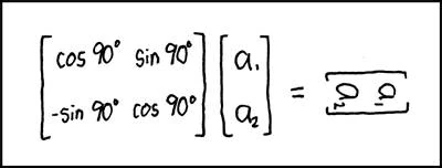
Μετασχηματισμός Στροφής

- Ένα Μαθηματικό Μέγεθος.

Ετυμολογία[]

Οργάνωση μήτρας, Row = σειρά, column = στήλη

Οργάνωση μήτρας, Row = σειρά, column = στήλη

Η ονομασία "Μήτρα" σχετίζεται ετυμολογικά με την λέξη "μήτηρ".

Εισαγωγή[]

Μήτρα είναι ένας πίνακας (array) αποτελούμενος από αριθμούς.

Ακριβέστερα, είναι μία δισδιάστατη διάταξη αριθμών που τα στοιχεία της αποτελούν τις συνιστώσες ενός τελεστή ως προς μία βάση.

Ο πίνακας καθορίζεται από δύο δείκτες.

  • Ο πρώτος δείκτης καθορίζει τη σειρά και
  • ο δεύτερος δείκτης καθορίζει την στήλη πάνω στην οποία τοποθετούνται οι αριθμοί.

Οι μήτρες εισήχθηκαν για να αναπαραστήσουν συστήματα γραμμικών εξισώσεων. Σε κάθε στήλη εμφανίζονται συντελεστές της ίδιας μεταβλητής. Για παράδειγμα, η εξίσωση x2 + 3x - 2 = 0 γράφεται ως μια σειρά με συντελεστές τους αριθμούς 1, 3 και -2.

Εφαρμογές[]

Οι μήτρες εφαρμόζονται σχεδόν σε όλα τα πεδία της Επιστήμης και της Τεχνολογίας.

Στην Οικονομία οι μήτρες input-output, τις οποίες εισήγαγε ο νομπελίστας οικονομολόγος Βασίλι Λεόντιεφ, χρησιμοποιήθηκαν για να υπολογίζονται μεταβλητές όπως το ΑΕΠ, Ακαθάριστο Εθνικό Προϊόν μιας χώρας.

Παράδειγμα[]

Η μήτρα

 

or  

είναι μία μήτρα. Το στοιχείο της ή είναι ο αριθμός 7.

or  

Επίσης η μήτρα

είναι μία μήτρα, ή αλλιώς ένα 9-στηλο σειραϊκό "διάνυσμα".

Μία μήτρα 4x4 γράφεται

 

Μία αντισυμμετική μήτρα 4x4 που δεξιόστροφη (clockwise) rotates points in the xy-plane clockwise through an angle θ with respect to the x axis
It applys to passive rotations of vectors clockwise in a right-handed coordinate system (y clockwise from x)

 

Μία αντισυμμετική μήτρα 4x4 που αριστερόστροφα (counterclockwise) rotates points in the xy-plane counterclockwise through an angle θ with respect to the x axis
It applys to active rotations of vectors counterclockwise in a right-handed coordinate system (y clockwise from x)

 

Μία μήτρα 9x9 γράφεται:

 

Μία μήτρα 10x10 γράφεται:

 

Είδη Μητρών[]

Οι πίνακες με ίσο αριθμό γραμμών και στηλών λέγονται τετραγωνικοί πίνακες.

Ισότητα Μητρών[]

Δύο μήτρες είναι ίσες αν τα στοιχεία τους είναι ένα προς ένα ίσα, δηλ.

(α)=(b) αν και μόνο αν αij = bij για κάθε i,j

Πράξεις μητρών[]

Οι πράξεις μεταξύ μητρών μπορούν να προκύψουν εύκολα από τις ιδιότητες των τελεστών τους οποίους αναπαριστούν οι μήτρες.

Στα παρακάτω, το σύμβολο (α)ij = αij θα συμβολίζει το στοιχείο του πίνακα (α) που βρίσκεται στην i γραμμή και στην j στήλη.

Πρόσθεση Μητρών[]

((α)+(b)) = αij + bij ,

Ιδιότητες:

  • (α)+(b) = (b)+(α) (αντιμεταθετική),
  • (α)+[(b)+(c)]=[(α) + (b)]+ (c) (προσεταιριστική)

Πολλαπλασιασμός μήτρας με αριθμό[]

Προκύπτει ένας νέος πίνακας, με στοιχεία (λ(α))ij = λαij,

Ιδιότητες:

  • λ[(α) + (b)] = λ(α) + λ(b)
  • (λ + m)(α)= λ(α) + m(α)
  • (λm)(α) = λ(m(α)) (λ, m αριθμοί)

Πολλαπλασιασμός μήτρας με διάνυσμα[]

Το αποτέλεσμα είναι ένα νέο διάνυσμα, με συνιστώσες [(α)x]i=∑j αij xj

Πολλαπλασιασμός μήτρας με μήτρα[]

Αν έχουμε δύο μήτρες (α) και (b), το γινόμενο (α)(b) υπάρχει μόνο αν ο αριθμός των στηλών του (α) ισούται με τον αριθμό των γραμμών του (b). Αν ο (α) είναι η μήτρα Ν×Μ και ο (b) πίνακας M×Κ, το γινόμενο (γ)=(α)(b) είναι πίνακας Ν×Κ, με στοιχεία

(γ)ij = ((α)(b))ij = ∑k αikbkj,

(δηλ. το ij στοιχείο του γινομένου είναι εσωτερικό γινόμενο της γραμμής i του (α) με τη στήλη j του (b)).

Ιδιότητες:

  • [(α) + (b)](c) = (α)(c) + (b)(c)
  • [(α)(b)](c) = (α)[(b)(c)]
  • (c)[(α) + (b)] = (c)(α) + (c)(b)
  • Προσοχή! δεν ισχύει η αντιμεταθετική ιδιότητα, δηλ. (α)(b)≠(b)(α)

Ταξινομία[]

Συνιστώσες Διανύσματος

  και

Συνιστώσες Διανύσματος και τανυστή

  3x3

Συνιστώσες τανυστή 3x3

  3x3

Συνιστώσες τανυστή 3x3

  3x3

Συνιστώσες τανυστή 3x3

Παρακάτω αναφέρουμε μερικές ειδικές κατηγορίες μητρών, τις οποίες συναντάμε συχνά σε εφαρμογές.

Μηδενική Μήτρα (0)[]

Αντιστοιχεί στον μηδενικό τελεστή. Είναι η μήτρα για την οποία ισχύει

  • (0)(α) = (α)(0) = (0) για κάθε (α).
  • Ένας μηδενικός πίνακας έχει όλα του τα στοιχεία του ίσα με μηδέν.

Μοναδιαία Μήτρα[]

Μοναδιαία Μήτρα ή ταυτοτική μήτρα (Ε) είναι η μήτρα για την οποία ισχύει:

  • (ε)(α) = (α)(ε)= (α) για κάθε (α).
  • Αντιστοιχεί στον μοναδιαίο τελεστή.
  • Ο ταυτοτικός πίνακας έχει όλα του τα στοιχεία ίσα με μηδέν, εκτός από τα στοιχεία της κύριας διαγωνίου, τα οποία είναι μονάδα.

Διαγώνια Μήτρα[]

Διαγώνιος λέγεται ένας πίνακας (δ) ο οποίος έχει όλα του τα στοιχεία ίσα με μηδέν, εκτός από τα στοιχεία της κύριας διαγωνίου, δηλαδή τα στοιχεία δij με i=j, π.χ.

Τριγωνική Μήτρα[]

Άνω (κάτω) τριγωνικός λέγεται ένας πίνακας στον οποίο είναι μη μηδενικά μόνο τα στοιχεία πάνω (κάτω) από την κύρια διαγώνιο, καθώς και αυτά της κύριας διαγωνίου.

Τριδιαγώνια Μήτρα[]

Τριδιαγώνιος λέγεται ο πίνακας στον οποίο είναι μη μηδενικά μόνο τα στοιχεία της κύριας διαγωνίου και της διαγωνίου πάνω και κάτω από την κύρια.

αij≠0 αν i=j, j±1.

Συζυγής Μήτρα[]

Συζυγής του πίνακα (α) λέγεται ο πίνακας που έχει στοιχεία του τα μιγαδικά συζυγή των στοιχείων του (α). Συμβολίζεται με (α*). Δηλ (α*)ij=(αij)*

  • Αν ο πίνακας (α) είναι πραγματικός, τότε (α*)=(α).

Ανάστροφη Μήτρα[]

Ανάστροφος του πίνακα (α) λέγεται ο πίνακας που έχει ως γραμμές τις στήλες του (α) και ως στήλες τις γραμμές του (α). Θα τον συμβολίζουμε με (α)Τ.

Συμμετρική Μήτρα[]

Αν ένας πίνακας ισούται με τον ανάστροφό του, τότε ο πίνακας λέγεται συμμετρικός.

Αν (α) συμμετρικός, τότε αij = αji.

Αντισυμμετρική Μήτρα[]

Αν ένας πίνακας ισούται με το αντίθετο του ανάστροφού του, τότε ο πίνακας λέγεται αντισυμμετρικός.

Αν (α) αντισυμμετρικός, τότε αij = -αji.

Προσαρτημένη Μήτρα[]

Ερμιτιανός συζυγής ή προσαρτημένος του πίνακα (α) λέγεται ο ανάστροφος του συζυγούς τού (α) (ή ο συζυγής του αναστρόφου του (α)). Θα τον συμβολίζουμε με (α)+. Δηλ. (α)+ =(α*)Τ.

Ερμητιανή Μήτρα[]

Αν ένας πίνακας (α) ισούται με τον προσαρτημένο του τότε ο (α) λέγεται ερμιτιανός ή αυτοπροσαρτημένος πίνακας.

Για έναν αυτοπροσαρτημένο πίνακα (α) ισχύει αij = (αji)*.
  • Οι αυτοπροσαρτημένοι πίνακες αποτελούν μια από τις πιο χρήσιμες κατηγορίες πινάκων.

Ανθερμητιανή Μήτρα[]

Αν ένας πίνακας (α) ισούται με το αντίθετο του προσαρτημένου του τότε ο (α) λέγεται ανθερμιτιανός πίνακας.

Αν (α) ανθερμητιανός τότε ισχύει αij = -(αji)*.

Κανονική Μήτρα[]

Αν ένας πίνακας μετατίθεται με τον ερμιτιανό συζυγή του, δηλ. (α)(α)+=(α)+(α) ο πίνακας αυτός λέγεται κανονικός.

Αντίστροφη Μήτρα[]

Αντίστροφος του πίνακα (α), αν υπάρχει, λέγεται ο πίνακας (α)-1, τέτοιος ώστε

(α) (α)-1 =(α)-1 (α)=(ε) (ο μοναδιαίος πίνακας).

Μοναδιακή Μήτρα[]

Αν για έναν πίνακα (α) ο οποίος έχει αντίστροφο ισχύει (α)+=(α)-1, τότε ο (α) λέγεται μοναδιακός πίνακας. Πολλές φορές συμβολίζεται με (u) (από το unitary). Προσοχή: Να μην συγχέεται με τον μοναδιαίο!

Ορθογώνια Μήτρα[]

Αν για έναν πίνακα (α) ο οποίος έχει αντίστροφο ισχύει (α)Τ = (α)-1, τότε ο (α) λέγεται ορθογώνιος πίνακας. Πολλές φορές συμβολίζεται με (O) (από το orthogonal).

  • Για πίνακες με πραγματικά στοιχεία, όπου (α)+ =(α)Τ, ο μοναδιακός και ο ορθογώνιος πίνακας ταυτίζονται.
  • Οι μοναδιακοί και οι ορθογώνιοι πίνακες αποτελούν από τις πιο χρήσιμες κατηγορίες πινάκων. Η ορίζουσά τους έχει μέτρο μονάδα, οι στήλες τους αποτελούν ορθοκανονικό σύστημα διανυσμάτων και όταν πολλαπλασιάσουν ένα διάνυσμα οδηγούν σε διάνυσμα με το ίδιο μήκος (μέτρο) με το αρχικό. Αποτελούν επίσης ειδικές κατηγορίες κανονικών πινάκων.

Ίχνος Μήτρας[]

Ίχνος πίνακα, (Tr) ( από το trace) ονομάζουμε το άθροισμα των διαγώνιων στοιχείων του πίνακα:

Tr(α)=∑iαii,

Για το ίχνος ισχύουν:

  • Tr((α)+(b))=Tr(α)+Tr(b)
  • Tr((α)(b))=Tr((b)(α)) (ακόμα και αν (α)(b)≠(b)(α)
  • Αξίζει να σημειωθεί επίσης ότι το ίχνος είναι χαρακτηριστικό του τελεστή τον οποίο εκπροσωπεί ο πίνακας και παραμένει το ίδιο για κάθε αναπαράσταση του τελεστή.

Ορίζουσα Μήτρας[]

Ορίζουσα πίνακα είναι ένας αριθμός, ο οποίος υπολογίζεται από τα στοιχεία του πίνακα (με προσθέσεις και πολλαπλασιασμούς των στοιχείων αυτών).

Συμβολίζεται είτε με det(α) (από την αγγλική λέξη determinant = ορίζουσα)

  • Το ίχνος και η ορίζουσα είναι δύο χρήσιμοι αριθμοί, χαρακτηριστικοί κάθε πίνακα. Ορίζονται μόνο για τετραγωνικούς πίνακες

Υπομήτρα[]

Υποπίνακας (cij) του πίνακα (α) ονομάζεται ο πίνακας που προκύπτει από τον (α) με απαλοιφή της γραμμής i και της στήλης j. Π.χ. ο (c11) του πιο πάνω πίνακα (α) είναι το στοιχείο α22 (πίνακας 1×1).

Υποορίζουσα[]

Οι ορίζουσες τέτοιων υποπινάκων του (α) ονομάζονται υποορίζουσες του πίνακα (α).

Αλγεβρικό Συμπλήρωμα Υπομήτρας[]

Αλγεβρικό συμπλήρωμα του υποπίνακα (cij) λέγεται ο αριθμός Δij=(-1)i+j det(cij)

Υποσημειώσεις[]

Εσωτερική Αρθρογραφία[]

Βιβλιογραφία[]

Ιστογραφία[]


Ikl Κίνδυνοι ΧρήσηςIkl

Αν και θα βρείτε εξακριβωμένες πληροφορίες
σε αυτήν την εγκυκλοπαίδεια
ωστόσο, παρακαλούμε να λάβετε σοβαρά υπ' όψη ότι
η "Sciencepedia" δεν μπορεί να εγγυηθεί, από καμιά άποψη,
την εγκυρότητα των πληροφοριών που περιλαμβάνει.

"Οι πληροφορίες αυτές μπορεί πρόσφατα
να έχουν αλλοιωθεί, βανδαλισθεί ή μεταβληθεί από κάποιο άτομο,
η άποψη του οποίου δεν συνάδει με το "επίπεδο γνώσης"
του ιδιαίτερου γνωστικού τομέα που σας ενδιαφέρει."

Πρέπει να λάβετε υπ' όψη ότι
όλα τα άρθρα μπορεί να είναι ακριβή, γενικώς,
και για μακρά χρονική περίοδο,
αλλά να υποστούν κάποιο βανδαλισμό ή ακατάλληλη επεξεργασία,
ελάχιστο χρονικό διάστημα, πριν τα δείτε.



Επίσης,
Οι διάφοροι "Εξωτερικοί Σύνδεσμοι (Links)"
(όχι μόνον, της Sciencepedia
αλλά και κάθε διαδικτυακού ιστότοπου (ή αλλιώς site)),
αν και άκρως απαραίτητοι,
είναι αδύνατον να ελεγχθούν
(λόγω της ρευστής φύσης του Web),
και επομένως είναι ενδεχόμενο να οδηγήσουν
σε παραπλανητικό, κακόβουλο ή άσεμνο περιεχόμενο.
Ο αναγνώστης πρέπει να είναι
εξαιρετικά προσεκτικός όταν τους χρησιμοποιεί.

- Μην κάνετε χρήση του περιεχομένου της παρούσας εγκυκλοπαίδειας
αν διαφωνείτε με όσα αναγράφονται σε αυτήν

IonnKorr-System-00-goog



>>Διαμαρτυρία προς την wikia<<

- Όχι, στις διαφημίσεις που περιέχουν απαράδεκτο περιεχόμενο (άσεμνες εικόνες, ροζ αγγελίες κλπ.)