Science Wiki

Ορίζουσα

Determinant


Μαθηματική Ορίζουσα

Μαθηματική Ορίζουσα

Μαθηματική Ορίζουσα

Μαθηματική Ορίζουσα

Μαθηματική Ορίζουσα

Μαθηματική Ορίζουσα

Μαθηματική Ορίζουσα

Μαθηματική Ορίζουσα

Μαθηματική Ορίζουσα

Μαθηματική Ορίζουσα
Μητραϊκό Ίχνος
Εκθετική Συνάρτηση

Μαθηματική Ανάλυση
Συνάρτηση
Πεδίο Ορισμού
Πεδίο Τιμών
Ενάρτηση
Εφάρτηση
Αμφάρτηση
Συναρτησιακή Μονοτονία
Συναρτησιακή Συνέχεια
Συναρτησιακή Σύγκλιση

 Μαθηματική Ορίζουσα

Προσανατολισμός
Διανυσματικός Χώρος
Μαθηματική Ορίζουσα

- Είδος συνάρτησης

Ετυμολογία[]

Η ονομασία "Ορίζουσα" σχετίζεται ετυμολογικά με την λέξη "ορισμός".

Περιγραφή[]

Στην Γραμμική Άλγεβρα, η ορίζουσα είναι μια «πραγματική συνάρτηση µε μεταβλητή μία μήτρα», ακριβέστερα με μία Τετραγωνική Μήτρα.

Μπορεί να υπολογιστεί από τα στοιχεία της μήτρας σε μια συγκεκριμένη αριθμητική έκφραση, αν και υπάρχουν και άλλοι τρόποι να βρούμε αυτήν την τιμή.

Η ορίζουσα παρέχει σημαντικές πληροφορίες όταν ο πίνακας αποτελείται από τους συντελεστές ενός συστήματος γραμμικών εξισώσεων, ή όταν αντιστοιχεί σε ένα γραμμικό μετασχηματισμό ενός διανυσματικού χώρου.

Στην πρώτη περίπτωση:

  • το σύστημα έχει μοναδική λύση ακριβώς όταν η ορίζουσα είναι μη μηδενική,
  • όταν η ορίζουσα είναι μηδέν είτε δεν υπάρχουν λύσεις είτε υπάρχουν πολλές.

Στην δεύτερη περίπτωση για τις ίδιες συνθήκες σημαίνει ότι για τον μετασχηματισμό ορίζεται η αντίστροφη πράξη.

Για την τιμή της ορίζουσας ενός τετραγωνικού πίνακα με στοιχεία πραγματικούς αριθμούς μπορεί να δοθεί μια γεωμετρική ερμηνεία: η απόλυτη τιμή της ορίζουσας δίνει την κλίμακα με την οποία το εμβαδόν ή ο όγκος (ή μιας μεγαλύτερης διάστασης αναλογία) πολλαπλασιάζεται με τον σχετικό γραμμικό μετασχηματισμό, ενώ το πρόσημό της δείχνει αν ο μετασχηματισμός διατηρεί τον προσανατολισμό.

Έτσι, ένας 2 × 2 πίνακας με ορίζουσα −2, όταν εφαρμόζεται στην περιοχή ενός επιπέδου με πεπερασμένο εμβαδόν, θα μετασχηματιστεί σε μια περιοχή με το διπλάσιο εμβαδόν, ενώ αντιστρέφει τον προσανατολισμό της.

Ορίζουσες εμφανίζονται σε όλους τους κλάδους των Μαθηματικών. Η χρήση των οριζουσών στον λογισμό συμπεριλαμβάνει την Ιακωβιανή ορίζουσα σε κανόνα αντικαταστάσεως για ολοκληρώματα συναρτήσεων πολλών μεταβλητών.

Χρησιμοποιούνται για να ορίσουν το Χαρακτηριστικό Πολυώνυμο μίας μήτρας, το οποίο είναι ένα ουσιώδες εργαλείο στα προβλήματα ιδιοτιμών της γραμμικής άλγεβρας.

Σε κάποιες περιπτώσεις χρησιμοποιούνται απλά ως ένας συμπαγής συμβολισμός για εκφράσεις που διαφορετικά θα ήταν δύσχρηστες στην καταγραφή.

Η ορίζουσα ενός πίνακα A συμβολίζεται det(A), det A, ή |A|. Σε περίπτωση που τα στοιχεία του πίνακα είναι ολογράφως, η ορίζουσα υποδηλώνεται με κάθετες γραμμές γύρω από τον πίνακα αντί για τις αγκύλες ή τις παρενθέσεις του πίνακα. Για παράδειγμα, η ορίζουσα του πίνακα

γράφεται

και η τιμή της είναι

Παρόλο που συχνότερα χρησιμοποιούνται για πίνακες με στοιχεία πραγματικούς ή μιγαδικούς αριθμούς, ο ορισμός της ορίζουσας περιέχει μόνο πρόσθεση, αφαίρεση και πολλαπλασιασμό, έτσι μπορεί να ορισθεί για τετραγωνικούς πίνακες με στοιχεία από οποιοδήποτε αντιμεταθετικό δακτύλιο. Για παράδειγμα, η ορίζουσα ενός πίνακα με ακεραίους συντελεστές θα είναι ένας ακέραιος και ο πίνακας θα έχει έναν αντίστροφο με ακεραίους συντελεστές αν και μόνον αν αυτή η ορίζουσα είναι 1 ή -1 (αυτά είναι τα μόνα αντιστρέψιμα στοιχεία των ακεραίων). Για τετραγωνικούς πίνακες με στοιχεία από ένα μη-αντιμεταθετικό δακτύλιο, για παράδειγμα οι τετραδικοί αριθμοί, δεν υπάρχει μοναδικός ορισμός για την ορίζουσα ούτε ορισμός που έχει όλες τις συνήθεις ιδιότητες των οριζουσών σε αντιμεταθετικούς δακτυλίους.

Ορισμός[]

Υπάρχουν διάφοροι τρόποι για να ορισθεί η ορίζουσα ενός τετραγωνικού πίνακα A,δηλ. ένας πίνακας με τον ίδιο αριθμό γραμμών και στηλών.

Πιθανώς ο πιο φυσικός τρόπος είναι να εκφρασθεί από την άποψη των στηλών του πίνακα.

Αν γράψουμε ένα n × n πίνακα υπό την μορφή στηλών διανυσμάτων

όπου τα είναι διανύσματα διάστασης n τότε η ορίζουσα του Α ορίζεται ως

όπου b και c είναι μονοδιάστατα, v είναι ένα διάνυσμα διάστασης n και Ι είναι η Μοναδιαία Μήτρα διάστασης n. Αυτές οι ιδιότητες δηλώνουν ότι η ορίζουσα είναι μια εναλλασσόμενη πολυγραμμική συνάρτηση των στηλών και αρκούν για να υπολογιστεί μοναδικά η ορίζουσα ενός τετραγωνικού πίνακα. Έχοντας γενικότερα ένα αντιμεταθετικό δακτύλιο με μοναδιαίο στοιχείο, ο ορισμός παρακάτω δείχνει ότι μια τέτοια συνάρτηση υπάρχει και θα δειχθεί ότι είναι μοναδική.[1]

Ισοδύναμα, η ορίζουσα μπορεί να εκφραστεί ως ένα άθροισμα γινομένων των στοιχείων της μήτρας, όπου κάθε γινόμενο έχει n όρους και ο συντελεστής του γινομένου είναι -1 ή 1 ή 0 σύμφωνα με έναν δοθέν κανόνα: είναι, δηλαδή, μία πολυωνυμική έκφραση των στοιχείων του πίνακα.

Αυτή η έκφραση μεγαλώνει ραγδαία με τη διάσταση του πίνακα (ένας n × n πίνακας δίνει n! όρους), έτσι θα δοθεί πρώτα μόνο για την περίπτωση των 2×2 και 3 × 3 πινάκων, και θα ακολουθήσει ο κανόνας για αυθαίρετης διάστασης πίνακες, όπου υπάγονται αυτές οι δύο περιπτώσεις.

Θεωρούμε ότι ο A είναι ένας τετραγωνικός πίνακας με n γραμμές και n στήλες, έτσι μπορεί να γραφεί σαν

Τα στοιχεία μπορεί να είναι αριθμοί ή εκφράσεις (όπως συμβαίνει όταν η ορίζουσα χρησιμοποιείται για να προσδιοριστεί ένα χαρακτηριστικό πολυώνυμο). Ο ορισμός της ορίζουσας εξαρτάται μόνο από το γεγονός ότι τα στοιχεία μπορούν να προστεθούν και να πολλαπλασιαστούν με ένα αντμεταθετικό τρόπο.

Η ορίζουσα ενός Α συμβολίζεται det(A), ή μπορεί να δηλωθεί απευθείας όσον αφορά τα στοιχεία του πίνακα, γράφοντας γραμμές αντί για αγκύλες:

2 × 2 πίνακες[]

Η ορίζουσα ενός 2×2 πίνακα ορίζεται ως

Αν τα στοιχεία του πίνακα είναι πραγματικοί αριθμοί, ο πίνακας Α μπορεί να χρησιμοποιηθεί για να παριστάνει δύο γραμμικές απεικονίσεις: μία που αντιστοιχεί την συνήθη βάση διανυσμάτων στις γραμμές του Α και μία που τα αντιστοιχεί στις στήλες του Α. Και στις δύο περιπτώσεις, οι εικόνες της βάσης διανυσμάτων σχηματίζουν ένα παραλληλόγραμμο που αναπαριστά την εικόνα το μοναδιαίου τετραγώνου μέσω μιας απεικόνισης. Το παραλληλόγραμμο που ορίζεται από τις γραμμές του παραπάνω πίνακα είναι εκείνο που έχει τις κορυφές του στα (0,0), (a,b), (a + c, b + d), και (c,d). Η απόλυτη τιμή της adbc είναι το εμβαδόν του παραλληλογράμμου και αντιπροσωπεύει την κλίμακα στην οποία τα εμβαδά μετασχηματίζονται από τον A. (Το παραλληλόγραμμο που σχηματίζεται από τις στήλες του A είναι γενικά ένα διαφορετικό παραλληλόγραμμο, αλλά δεδομένου ότι η ορίζουσα είναι συμμετρική ως προς τις γραμμές και τις στήλες, το εμβαδόν θα είναι το ίδιο.)

Η απόλυτη τιμή της ορίζουσας μαζί με το πρόσημο γίνεται το προσανατολισμένο εμβαδόν του παραλληλογράμμου. Το προσανατολισμένο εμβαδόν είναι το ίδιο με το συνηθισμένο εμβαδόν, εκτός του ότι είναι αρνητικό όταν η γωνία από το πρώτο στο δεύτερο διάνυσμα προσδιορίζει ότι το παραλληλόγραμμο στρέφεται με δεξιόστροφη φορά (η οποία είναι η αντίθετη φορά από εκείνη που θα παίρναμε από τον μοναδιαίο πίνακα).

'Έτσι η ορίζουσα δίνει το συντελεστή κλίμακας και τον προσανατολισμό που προκύπτουν από από την απεικόνιση του που παριστάνεται από τον A. Όταν η ορίζουσα είναι ίση με ένα, η γραμμική απεικόνιση που ορίζεται από τον πίνακα είναι ισεμβαδική και διατηρείται ο προσανατολισμός.

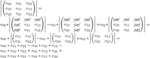
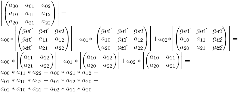
3 × 3 πίνακες[]

Η ορίζουσα ενός 3×3 πίνακα ορίζεται ως

Ο κανόνας Sarrus είναι ένας μνημονικός κανόνας για αυτόν τον τύπο: το άθροισμα των γινομένων των τριών διαγωνίων από τις βορειοδυτικές στις νοτιοανατολικές γραμμές των στοιχείων του πίνακα, μείον το άθροισμα των γινομένων των τριών διαγωνίων από τις νοτιοδυτικές προς τις βορειοανατολικές γραμμές των στοιχείων, ενώ οι πρώτες δύο στήλες του πίνακα έχουν αντιγραφεί δίπλα του όπως στην εικόνα.

Για παράδειγμα, η ορίζουσα του

υπολογίζεται χρησιμοποιώντας αυτόν τον κανόνα:

Αυτό το σχέδιο για τον υπολογισμό της ορίζουσας ενός 3 × 3 πίνακα δεν μεταφέρεται σε μεγαλύτερες διαστάσεις.

n × n πίνακες[]

Η ορίζουσα ενός πίνακα αυθαίρετης διάστασης μπορεί να ορισθεί από τον τύπο του Leibniz ή τον τύπο του Laplace.

Ο τύπος του Leibniz για την ορίζουσα ενός n × n πίνακα A είναι

Εδώ το άθροισμα υπολογίζεται από όλες τις μεταθέσεις του σ στο σύνολο {1, 2, ..., n}. Η μετάθεση είναι μια συνάρτηση που αναδιατάσσει αυτό το σύνολο των ακεραίων. Η τιμή στην i θέση μετά την αναδιάταξη σ συμβολίζεται σi. Για παράδειγμα, για n = 3, η αρχική ακολουθία 1, 2, 3 θα μπορούσε να γίνει σ = [2, 3, 1] με σ1 = 2, σ2 = 3, και σ3 = 1. Το σύνολο όλων αυτών των μεταθέσεων (επίσης γνωστό και ως συμμετρική ομάδα n στοιχείων) συμβολίζεται Sn. Για κάθε μετάθεση σ, το sgn(σ) υποδηλώνει το πρόσημο της σ, είναι +1 για άρτιες σ και -1 για περιττές σ. Το αν είναι άρτια ή περιττή μια μετάθεση μπορεί να βρεθεί ως εξής: η μετάθεση είναι άρτια (περιττή) αν η νέα ακολουθία δημιουργείται από άρτιο αριθμό (περιττό αριθμό, αντίστοιχα) αλλαγών αριθμών. Για παράδειγμα, ξεκινώντας από [1, 2, 3](με την σύμβαση για το πρόσημο ότι sgn([1,2,3]) = +1) και αλλάζοντας το 2 και το 3 έχουμε [1, 3, 2], με sgn([1,3,2]) = −1. Αλλάζοντας άλλη μία φορά έχουμε [3, 1, 2], με sgn([3,1,2]) = +1 και πάλι. Τελικά, μετά από συνολικά τρεις αλλαγές (περιττός αριθμός), η μετάθεση που καταλήγουμε είναι [3, 2, 1], με sgn([3,2,1]) = −1. Επομένως η [3, 2, 1] είναι μια περιττή μετάθεση. Ομοίως, η μετάθεση [2, 3, 1] είναι άρτια: [1, 2, 3] → [2, 1, 3] → [2, 3, 1], με άρτιο αριθμό αλλαγών.

Μία μετάθεση δεν μπορεί να είναι ταυτόχρονα άρτια και περιττή, αλλά μερικές φορές είναι βολικό να δεχόμαστε κάποιες μη-μεταθέσεις: ακολουθίες με αριθμούς που επαναλαμβάνονται ή παραλείπονται, όπως [1, 2, 1]. Σε αυτήν την περίπτωση, το πρόσημο οποιασδήποτε μη-μετάθεσης είναι μηδέν: sgn([1,2,1]) = 0.

Σε οποιονδήποτε από τους προσθετέους, ο όρος

είναι συμβολισμός του γινομένου των στοιχείων στις θέσεις (i, σi), όπου το i παίρνει τιμές από το 1 ως το n:

Για παράδειγμα, η ορίζουσα ενός 3 × 3 πίνακα A (n = 3) είναι

Αυτό συμπίπτει με τον κανόνα του Sarrus από την προηγούμενη ενότητα.

Η επίσημη γενίκευση για κάθε διάσταση έγινε από τον Tullio Levi-Civita, δείτε επίσης ( σύμβολο Levi-Civita ) που χρησιμοποιεί ένα σύμβολο ψευδο-τανυστή.

Σύμβολο Levi-Civita[]

Η ορίζουσα για ένα n × n πίνακα μπορεί να εκφραστεί με το εντελώς αντισυμμετρικό σύμβολο Levi-Civita ως εξής:

Ιδιότητες της ορίζουσας[]

Η ορίζουσα έχει πολλές ιδιότητες, μερικές βασικές είναι οι εξής:

  1. όπου In είναι ο n × n μοναδιαίος πίνακας.
  2. Για τετραγωνικούς πίνακες A και B ίδιας διάστασης,
  1. για ένα n × n πίνακα.
  2. Αν A είναι ένας τριγωνικός πίνακας, δηλ. ai,j = 0 όταν i > j ή, εναλλακτικά όταν i < j, τότε η ορίζουσά του ισούται με το γινόμενο των στοιχείων της διαγωνίου:

Αυτό μπορούμε να το συμπεράνουμε από τις παρακάτω ιδιότητες, αλλά βγαίνει πιο εύκολα απευθείας από τον τύπο του Leibniz (ή από την επέκταση του Laplace), στον οποίο η ταυτοτική μετάθεση είναι η μοναδική που δίνει μη μηδενικό αποτέλεσμα.

Μερικές επιπρόσθετες ιδιότητες που σχετίζονται με την επίδραση της αλλαγής συγκεκριμένων γραμμών ή στηλών στην ορίζουσα:

  1. Βλέποντας ένα n × n πίνακα ως αποτελούμενο από n στήλες, η ορίζουσα είναι μία n-γραμμική συνάρτηση. Αυτό σημαίνει ότι αν μια στήλη του πίνακα A είναι γραμμένη σαν άθροισμα v + w δύο διανυσμάτων στηλών, και όλες οι άλλες στήλες παραμένουν αναλλοίωτες, έτσι η ορίζουσα του Α είναι το άθροισμα οριζουσών των πινάκων που δημιουργούνται από τον πίνακα Α αντικαθιστώντας με το v και το w αντίστοιχα (και μια όμοια σχέση ισχύει όταν μια στήλη γράφεται σαν βαθμωτό γινόμενο ενός διανύσματος στήλης).
  2. Αυτή η n-γραμμική συνάρτηση είναι μια εναλλασσόμενη μορφή. Αυτό σημαίνει ότι όποτε δύο στήλες του πίνακα είναι ταυτόσημες ή γενικότερα κάποια στήλη μπορεί να εκφραστεί σαν γραμμικός συνδυασμός των άλλων στηλών (δηλ. οι στήλες ενός πίνακα σχηματίζουν ένα γραμμικά εξαρτημένο σύνολο), η ορίζουσά του είναι 0.

Οι ιδιότητες 1,7 και 8, οι οποίες είναι επακόλουθα του τύπου του Leibniz, χαρακτηρίζουν απόλυτα την ορίζουσα. Με άλλα λόγια η ορίζουσα είναι η μοναδική συνάρτηση από n × n πίνακες σε βαθμωτούς αυτή είναι μια n-γραμμική εναλλαγή στις στήλες, και παίρνει την τιμή 1 για τον μοναδιαίο πίνακα (αυτός ο χαρακτηρισμός ισχύει ακόμα και αν οι βαθμωτοί πίνακες ανήκουν σε οποιοδήποτε αντιμεταθετικό δακτύλιο). Για να το δούμε αυτό αρκεί να επεκτείνουμε την ορίζουσα με πολυγραμμικότητα στις στήλες σε ένα(τεράστιο) γραμμικό συνδυασμό των οριζουσών πινάκων στον οποίο κάθε στήλη είναι μια Κανονική Βάση διανυσμάτων. Αυτές οι ορίζουσες είναι είτε 0 (από την ιδιότητα 8) είτε ±1 (από τις ιδιότητες 1 και 11 κάτω), έτσι ο γραμμικός συνδυασμός δίνει την έκφραση πάνω από το σύμβολο Levi-Civita. Αν και λιγότερο τεχνικός στην εμφάνιση, αυτός ο χαρακτηρισμός δεν μπορεί να αντικαταστήσει εξ ολοκλήρου τον τύπο του Leibniz στον ορισμό της ορίζουσας, διότι χωρίς αυτόν η ύπαρξη μιας κατάλληλης συνάρτησης δεν είναι ξεκάθαρη. Για πίνακες σε μη αντιμεταθετικούς δακτυλίους, οι ιδιότητες 7 και 8 δεν ισχύουν για n ≥ 2,[2]

Η ιδιότητα 2 παραπάνω συνεπάγεται ότι υπάρχουν οι αντίστοιχες ιδιότητες των στηλών για τις γραμμές:

  1. Θεωρώντας ότι ένας n × n πίνακας αποτελείται από n γραμμές, η ορίζουσα είναι μια n-γραμμική συνάρτηση.
  2. Αυτή η n-γραμμική συνάρτηση είναι μια εναλλασσόμενη μορφή: όποτε δύο γραμμές ενός πίνακα είναι ταυτόσημες, η ορίζουσα του είναι 0.
  3. Εναλλάσσοντας δύο στήλες ενός πίνακα η ορίζουσά του πολλαπλασιάζεται με −1. Αυτό είναι επακόλουθο των ιδιοτήτων 7 και 8 (γενική ιδιότητα των πολυγραμμικών εναλλασσόμενων απεικονίσεων). Επαναλαμβάνοντας προκύπτει ότι, γενικότερα μία μετάθεση των στηλών πολλαπλασιάζει την ορίζουσα με το πρόσημο της μετάθεσης. Ομοίως, μία μετάθεση των γραμμών πολλαπλασιάζει την ορίζουσα με το πρόσημο της μετάθεσης.
  4. Η πρόσθεση μιας στήλης πολλαπλασιασμένης με ένα στοιχείο σε μια άλλη δεν αλλάζει την τιμή της ορίζουσας. Αυτή είναι μία συνέπεια των ιδιοτήτων 7 και 8: από την ιδιότητα 7 η ορίζουσα αλλάζει με ένα πολλαπλάσιο της ορίζουσας ενός πίνακα με δύο ίσες στήλες, του οπoίου η ορίζουσα είναι 0 από την ιδιότητα 8. Ομοίως, η πρόσθεση μιας γραμμής πολλαπλασιασμένης με ένα στοιχείο σε μια άλλη αφήνει τη ορίζουσα αμετάβλητη.

Αυτές οι ιδιότητες μπορούν να χρησιμοποιηθούν για να διευκολύνουν τον υπολογισμό των οριζουσών απλοποιόντας τον πίνακα σε σημείο που η ορίζουσα να μπορεί να αποφασιστεί αμέσως. Ειδικά, γαι πίνακες με συντελεστές από ένα σώμα, οι ιδιότητες 11 και 12 μπορούν να χρησιμοποιηθούν για να μετασχηματίσουν οποιονδήποτε πίνακα σε ένα τριγωνικό πίνακα, του οποίου η ορίζουσα δίνεται από την ιδιότητα 6, ουσιαστικά αυτή είναι η "μέθοδος απαλοιφής του Gauss".

Για παράδειγμα, η ορίζουσα ενός

μπορεί να υπολογιστεί χρησιμοποιώντας τους παρακάτω πίνακες:

Εδώ, Β δημιουργείται από τον Α προσθέτοντας −1/2×την πρώτη γραμμή στην δεύτερη, έτσι det(A) = det(B). C δημιουργείται από τον Β προσθέτοντας την πρώτη στην τρίτη γραμμή, έτσι det(C) = det(B). Τέλος, D δημιουργείται από τον C αλλάζοντας την δεύτερη μρ την τρίτη γραμμή, οπότε det(D) = −det(C). Η ορίζουσα ενός (άνω)τριγωνικού πίνακα D είναι το γινόμενο των στοιχείων της κύριας διαγωνίου: (−2) · 2 · 4.5 = −18. Επομένως, det(A) = −det(D) = +18.

Πολλαπλασιαστικότητα και ομάδες πινάκων[]

Η ορίζουσα του γινομένου δύο τετραγωνικών πινάκων ισούται με το γινόμενο των οριζουσών τους:

Γι΄αυτό το λόγο η ορίζουσα είναι μια πολλαπλασιαστική απεικόνιση. Αυτή η ιδιότητα είναι μια συνέπεια του χαρακτηρισμού της ορίζουσας ως την μοναδική n-γραμμική εναλλασόμενη συνάρτηση των στηλών με την τιμή 1 του μοναδίαου πίνακα, έτσι η συνάρτηση Mn(K) → K που απεικονίζει M ↦ det(AM) μπορεί να την δει κάποιος εύκολα σαν μια n-γραμμική και εναλλασόμενη στις στήλες του M, και παίρνει την τιμή det(A) στην ταυτότητα. Ο τύπος μπορεί να γενικευτεί και για γινόμενο ορθογωνίων πινάκων, δίνοντας τον τύπο των Cauchy–Binet, που παρέχει μια ανεξάρτητη απόδειξη της πολλαπλασιαστικής ιδότητας.

Η ορίζουσα det(A) του πίνακα A είναι μη μηδενική αν και μόνον αν ο A είναι αντιστρέψιμος ή, ταυτόσημα, αν η τάξη του πίνακα ισούται με τη διάστασή του. Αν ναι, η ορίζουσα του αντίστροφου πίνακα δίνεται από:

Ειδικότερα, τα γινόμενα και οι αντίστροφοι πινάκων με ορίζουσα ένα εξακολουθούν να έχουν αυτή την ιδιότητα. Έτσι, το σύνολο τέτοιων πινάκων(σταθερού μεγέθους n) σχηματίζουν μια ομάδα γνωστή ως ειδική γραμμική ομάδα. Γενικότερα, η λέξη "ειδική" υποδηλώνει την υποομάδα μιας άλλης ομάδας πινάκων από πίνακες με ορίζουσα ένα. Τα παραδείγματα περιλαμβάνουν την ειδική ορθογώνια ομάδα(όπου αν το n είναι 2 ή 3 αποτελείται από όλες τις περιστροφές πινάκων]]), και η ειδική ενιαία ομάδα.

Ο τύπος του Laplace και ο προσαρτημένος πίνακας[]

Ο τύπος Laplace εκφράζει την ορίζουσα ενός πίνακα με ελάσσονες ορίζουσες. Η ελασσον ορίζουσα Mi,j ορίζεται να είναι η ορίζουσα του n−1) × (n−1)-πίνακα που προκύπτει από τον Α διαγράφοντας την i γραμμή και την j στήλη. Η έκφραση (−1)i+jMi,j είναι γνωστή ως συμπαράγοντας. η ορίζουσα ενός Α δίνεται από

Υπολογίζοντας την det(A) μέσω αυτού του τύπου αναφέρεται σαν ανάπτυγμα της ορίζουσας ως προς μια γραμμή ή μια στήλη. Για παράδειγμα, ο 3 × 3 πίνακας

το ανάπτυγμα Laplace ωσ προς την δεύτερη στήλη (j = 2, το άθροισμα τρέχει πάνω στο i) δίνει:

Ωστόσο, το ανάπτυγμα Laplace είναι αποδοτικό μόνο για μικρούς πίνακες.

Η Προσαρτημένη Μήτρα adj(A) είναι η ανάστροφη της μήτρας που αποτελείται από τους συμπαράγοντες, δηλ.,

Θεώρημα οριζουσών του Sylvester[]

Το θεώρημα οριζουσών του Sylvester αναφέρει ότι για A, ένα m × n πίνακα, και B, ένα n × m πίνακα (ώστε οι A και B έχουν διαστάσεις που τους επιτρέπουν να πολλαπλασιαστούν με οποιαδήποτε σειρά):

,

όπου Im και In είναι ο m × m και ο n × n μοναδιαίος πίνακας, αντίστοιχα.

Από αυτό το γενικό αποτέλεσμα απορρέουν διάφορες συνέπειες.

(α)Για την περίπτωση ενός διανύσματος-στήλης c και ενός διανύσματος-γραμμής r, το καθένα με m στοιχεία, ο τύπος επιτρέπει τον γρήγορο υπολογισμό της ορίζουσας του πίνακα που διαφέρει από τον μοναδιαίο πίνακα κατά ένα πίνακα τάξης 1:
.
(β) Γενικότερα,[3] για οποιονδήποτε αντιστρέψιμο m × m πίνακα X,
,
(γ) Για ένα διάνυσμα-στήλη και ένα γραμμή όπως παραπάνω, .

Ιδιότητες της ορίζουσας σε σχέση με άλλες έννοιες[]

Η σχέση με τις ιδιοτιμές και το ίχνος[]

Οι ορίζουσες μπορούν να χρησιμοποιηθούν για να βρεθούν οι ιδιοτιμές ενός πίνακα A: είναι οι λύσεις της χαρακτηριστικής εξίσωσης

όπου I είναι ο μοναδιαίος πίνακας της ίδιας διάστασης με τον A. Αντίστροφα, det(A) είναι το γινόμενο των ιδιοτιμών του A, μετρώντας τις αλγεβρικές πολλαπλότητες. Το γινόμενο όλων των μη μηδενικών ιδιοτιμών αναφέρεται σαν ψευδο-ορίζουσα.

Ένα Ερμιτιανός πίνακας είναι θετικά ορισμένος αν όλες οι ιδιοτιμές είναι θετικές. Το κριτήριο του Sylvester ισχυρίζεται ότι είναι ισοδύναμο με το να είναι θετικές οι ορίζουσες των υποπινάκων

για όλα τα k από 1 μέχρι n.

Το ίχνος tr(A) είναι εξ ορισμού το άθροισμα των στοιχείων της διαγωνίου του A και επίσης ισούται με το άθροισμα των ιδιοτιμών. Έτσι, για μιγαδικούς πίνακες A,

ή, για πραγματικούς πίνακες A,

Εδώ το exp(A) συμβολίζει τον εκθετικό πίνακα του Α, επειδή κάθε ιδιοτιμή λ του Α αντιστοιχεί σε μια ιδιοτιμή exp(λ) του exp(A). Ειδικότερα, όταν δίνεται κάποιος λογάριθμος του Α, ο οποίος είναι, κάθε πίνακας L που ικανοποιεί την

η ορίζουσα ενός Α δίνεται από

Για παράδειγμα, για n = 2, n=3, και n = 4, αντίστοιχα,

σύμφωνα με το θεώρημα Cayley-Hamilton. Τέτοιες εκφράσεις εξάγονται από τις ταυτότητες του Νεύτωνα.

Στην γενική περίπτωση,

όπου το άθροισμα είναι πάνω στο σύνολο όλων των ακεραίων kl ≥ 0 που ικανοποιεί την εξίσωση

Μια ταυτότητα αυθαίρετης διάστασης n απορρέει από το ανάπτυγμα της σειράς του Mercator από τον λογάριθμο,


όπου Ι είναι ο μοναδιαίος πίνακας. Το άθροισμα και το ανάπτυγμα της εκθετικής χρειάζεται να πάει μέχρι το n αντί για ∞, αφού η ορίζουσα δεν μπορεί να υπερβεί τον O(An).

Κανόνας του Cramer[]

Για μια εξίσωση πινάκων

η λύση δίνεται από τον κανόνα του Cramer:

όπου Ai είναι που δημιουργείται αν αντικαταστήσουμε την i στήλη του A με ένα διάνυσμα-στήλη b. Αυτό προκύπτει αμέσως με ανάπτυγμα στήλης της ορίζουσας, δηλ.

όπου τα διανύσματα είναι οι στήλες του A. Ο κανόνας συμπεραίνεται επίσης εκ ταυτότητος

Αποδείχτηκε πρόσφατα ότι ο κανόνας του Cramer μπορεί να εφαρμοστεί σε O(n3) χρόνο, [4] που συγκρίνεται με τις πιο συνηθισμένες μεθόδους επίλυσης συστημάτων γραμμικών εξισώσεων, όπως LU, QR, ή αποσύνθεση μοναδικής τιμής.

Μπλοκ πίνακες[]

Έστω ότι οι A, B, C, και D είναι πίνακες διάστασης (n × n), (n × m), (m × n), και (m × m), αντίστοιχα. Τότε

Αυτό μπορεί να φανεί από τον τύπο του Leibniz ή με επαγωγή στο n. Όταν ο Α είναι αντιστρέψιμος, χρησιμοποιούμε την ακόλουθη ταυτότητα

που οδηγεί στην

Όταν ο D είναι αντιστρέψιμος, μια παρόμοια ταυτότητα με που υπολογίζεται ανάλογα,[5] η οποία είναι,

Όταν τα μπλοκς είναι τετραγωνικοί πίνακες του ίδιου βαθμού υπάρχουν περισσότεροι τύποι. Για παράδειγμα, αν οι C και D αντιμετατεθούν (δηλ., CD = DC), τότε ο ακόλουθος τύπος αντίστοιχος με της ορίζουσας ενός 2×2 πίνακα είναι:[6]

Παράγωγος[]

Εξ ορισμού, για παράδειγμα χρησιμοποιώντας τον τύπο του Leibniz, η ορίζουσα ενός πραγματικού (ή ανάλογα μιγαδικού) τετραγωνικού πίνακα είναι μια πολυωνυμική συνάρτηση από το Rn × n στο R. Ως τέτοια είναι παντού διαφορίσιμη. Η παράγωγός της πορεί να εκφραστεί χρησιμοποιώντας τον τύπο του Jacobi:

όπου adj(A) συμβολίζει τον προσαρτημένο του A. Ειδικότερα, αν ο A είναι αντιστρέψιμος, έχουμε:

Εκφράζεται ως προς τα στοιχεία του A, είναι

Ακόμα μία ισοδύναμη διατύπωση είναι

,

που χρησιμοποιεί το συμβολισμό Ο μεγάλο. Στην ειδική περίπτωση όπου , ο μοναδιαίος πίνακας, είναι:

Αυτή η ταυτότητα χρησιμοποιείται στην περιγραφή του εφαπτόμενου χώρου κάποιου πίνακα των ομάδων Lie.

Αν ο πίνακας Α είναι γραμμένος ως όπου a, b, c είναι διανύσματα, τότε η κλίση σε ένα από τα τρία διανύσματα μπορεί να γραφεί σαν το Εξωτερικό Γινόμενο των δύο άλλων:

Αφηρημένες αλγεβρικές απόψεις[]

Ορίζουσα ενός ενδομορφισμού[]

Οι παραπάνω ταυτότητες σχετικά με την ορίζουσα των γινομένων και των αντίστροφων των πινάκων συνεπάγονται ότι οι όμοιοι πίνακες έχουν την ίδια ορίζουσα: δύο πίνακες A και B είναι όμοιοι, αν υπάρχει ένας αντιστρέψιμος πίνακας X τέτοιος ώστε A = X−1BX. Πράγματι, εφαρμόζοντας επανειλημμένα τις παραπάνω ταυτότητες έχουμε:

Η ορίζουσα συνεπώς λέγεται αναλλοίωτη της ομοιότητας. Η ορίζουσα ενός γραμμικού μετασχηματισμού

για κάποιον πεπερασμένης διάστασης διανυσματικό χώρο V ορίζεται να είναι η ορίζουσα του πίνακα που τον περιγράφει, ως προς μια αυθαίρετη επιλογή μιας βάσης στον V. Λόγω αναλλοιώτου της ομοιότητας, η ορίζουσα είναι ανεξάρτητη από την επιλογή της βάσης για τον V και έτσι εξαρτάται μόνο από τον ενδομορφισμό T.

Μετασχηματισμός σε εναλλασσόμενη πολυγραμμική n-μορφών[]

Ο διανυσματικός χώρος W όλων των εναλλασσόμενων πολυγραμμικών n-μορφών πάνω σε ένα n-διάστατο διανυσματικό χώρο V έχει διάσταση ένα. Σε κάθε γραμμικό μετασχηματισμό T σε ένα W, όπου για κάθε w στον W ορίζουμε (Tw)(x1,...,xn) = w(Tx1,...,Txn). Καθώς ένας γραμμικός μετασχηματισμός ενός μονοδιάστατου χώρου T′ είναι ισοδύναμος με ένα βαθμωτό πολλαπλασιασμό. Ονομάζουμε αυτό τον αριθμό ορίζουσα του T.

Εξωτερική άλγεβρα[]

Η ορίζουσα μπορεί ακόμα να χαρακτηριστεί ως η μοναδική συνάρτηση

από το σύνολο όλων των n × n πινάκων με στοιχεία από ένα σώμα Κ σε αυτό το σώμα ικανοποιώντας τις παρακάτω τρεις ιδιότητες: πρώτον, D είναι μια n-γραμμική συνάρτηση: λαμβάνοντας υπόψη όλες εκτός από μια στήλη του σταθερού Α, η ορίζουσα είναι γραμμική στις υπόλοιπες στήλες, είναι

για οποιοδήποτε διανύσματα-στηλών v1, ..., vn, και w και κάποια αριθμητικά (στοιχεία του K) a and b. Δεύτερον, ο D είναι μια εναλλασσόμενη συνάρτηση : για κάποιον Α με δύο ταυτόσημες στήλες D(A) = 0. Τελικά, D(In) = 1. Εδώ In είναι ο μοναδιαίος πίνακας.

Αυτό το γεγονός συνεπάγεται επίσης ότι κάθε άλλη n-γραμμική εναλλασσόμενη συνάρτηση F: Mn(K) → K satisfies

Το τελευταίο τμήμα προκύπτει από την προηγούμενη δήλωση: κάποιος μπορεί εύκολα να δει ότι αν η F είναι μη μηδενική ικανοποιεί F(I) ≠ 0, και η συνάρτηση που σχετίζει την F(M)/F(I) με το M ικανοποιεί όλες τις συνθήκες του θεωρήματος. Η σημασία της αναφοράς αυτού είναι κυρίως ότι εξακολουθεί να ισχύει[7] αν το K είναι κάποιος αντιμεταθετικός δακτύλιος αντί για ένα σώμα, στην περίπτωση αυτή ο δοσμένος ισχυρισμός δεν εφαρμόζεται.

Η ορίζουσα ενός γραμμικού μετασχηματισμού Α : VV ενός n-διάστατου διανυσματικού χώρου V μπορεί να διατυπωθεί χωρίς συντεταγμένες λαμβάνοντας υπόψη την n εξωτερική δύναμη ΛnV του V. Ο A επάγει μία γραμμική απεικόνιση

Αφού η ΛnV είναι μονοδιάστατη, η απεικόνιση ΛnA δίνεται από τον πολλαπλασιασμό με κάποιο αριθμητικό. Αυτό το αριθμητικό συμπίπτει με την ορίζουσα του Α, είναι σαν να λέμε ότι

Αυτός ο ορισμός συμφωνεί με τον πιο συγκεκριμένο ορισμό που εξαρτάται από συντεταγμένες. Προκύπτει από τον χαρακτηρισμό της ορίζουσας παραπάνω. Για παράδειγμα, αλλάζοντας δύο στήλες αλλάζει η ισότητα modulo 2 της ορίζουσας, παρομοίως, μεταθέτοντας τα διανύσματα στο εξωτερικό γινόμενο v1v2 ∧ ... ∧ vn στο v2v1v3 ∧ ... ∧ vn,ας πούμε, αλλάζει επίσης η ισότητα modulo 2.

Για το λόγο αυτό, η μεγαλύτερη μη μηδενική εξωτερική δύναμη Λn(V) λέγεται μερικές φορές και ορίζουσα του V και ομοίως για αντικείμενα που εμπλέκονται περισσότερο όπως οι διανυσματικές δέσμες ή τα αλυσιδωτά σύμπλοκα των διανυσματικών χώρων. Οι ελάσσονες ορίζουσες ενός πίνακα μπορούν να παίξουν ρόλο σε αυτή την τοποθέτηση, δίνοντας χαμηλότερες εναλλασσόμενες μορφές ΛkV με k < n.

Γενικεύσεις και σχετικές έννοιες[]

Άπειροι πίνακες[]

Για πίνακες με άπειρο αριθμών γραμμών και στηλών, οι παραπάνω ορισμοί της ορίζουσας δεν μεταφέρονται άμεσα. Για παράδειγμα, στον τύπο του Leibniz, ένα άπειρο άθροισμα (όλοι οι όροι του οποίου είναι άπειρα γινόμενα) θα έπρεπε να υπολογιστούν. Η συναρτησιακή ανάλυση παρέχει διαφορετικές επεκτάσεις της ορίζουσας για τέτοιες άπειρης διάστασης καταστάσεις, οι οποίες ωστόσο λειτουργούν για συγκεκριμένα είδη τελεστών.

Η ορίζουσα Fredholm ορίζει την ορίζουσα για τελεστές γνωστούς ως κλάση ιχνών τελεστών με μια κατάλληλη γενίκευση του τύπου

Μια άλλη άπειρης διάστασης έννοια της ορίζουσας είναι η συναρτησιακή ορίζουσα .

Επιπρόσθετες παραλλαγές[]

Οι ορίζουσες πινάκων σε υπερδακτυλίους (που είναι, Z2-διαβαθμισμένοι δακτύλιοι) είναι γνωστές ως υπερορίζουσες.[8]

Η σταθερά ενός πίνακα ορίζεται σαν την ορίζουσα, εκτός από ότι οι παράγοντες του sgn(σ) που βρίσκονται στον κανόνα του Leibniz παραλείπονται. Η immanant γενικεύει και τις δύο εισάγοντας ένα χαρακτήρα της συμμετρικής ομάδας Sn στον κανόνα του Leibniz.

Υπολογισμός[]

Οι ορίζουσες χρησιμοποιούνται κυρίως σαν θεωρητικό εργαλείο. Σπάνια υπολογίζονται ρητά με αριθμητική γραμμική άλγεβρα, όπου για εφαρμογές όπως το να εξεταστεί η αντιστρεψιμότητα και το να βρεθούν οι ιδιοτιμές της ορίζουσα έχει σε μεγάλο βαθμό αντικατασταθεί από άλλες τεχνικές.[9] Παρ 'όλα αυτά, ο ακριβής υπολογισμός της ορίζουσας σε κάποιες περιπτώσεις είναι απαραίτητος, και υπάρχουν διάφορες μέθοδοι διαθέσιμες για να γίνει αυτό.

Απλές μέθοδοι εφαρμογής ενός αλγορίθμου για τον υπολογισμό της ορίζουσας περιλαμβάνει την χρήση του τύπου του Leibniz ή του Laplace. Και οι δύο αυτές προσεγγίσεις είναι εξαιρετικά αναποτελεσματικές για μεγάλους πίνακες, έτσι, αφού ο αριθμός των απαιτούμενων πράξεων αυξάνεται πολύ γρήγορα: είναιτης τάξης n! (n παραγοντικό) για ένα n × n πίνακα M. Για παράδειγμα, ο τύπος του Leibniz απαιτεί να υπολογιστούν n! γινόμενα. Ως εκ τούτου, έχουν έχουν αναπτυχθεί πιο σύνθετες τεχνικές για τον υπολογισμό οριζουσών.


Μέθοδοι ανάλυσης[]

Δίνεται πίνακας A, μερικές μέθοδοι υπολογισμού της ορίζουσάς του γράφοντας τον A σαν ένα γινόμενο πινάκων των οποίων οι ορίζουσες μπορούν να υπολογιστούν ευκολότερα. Τέτοιες τεχνικές αναφέρονται ως μέθοδοι ανάλυσης. Τα παραδείγματα περιλαμβάνουν την LU ανάλυση , την QR ανάλυση ή την ανάλυση Cholesky (για θετικά ορισμένους πίνακες). Αυτές οι μέθοδοι είναι τάξης O(n3), η οποία είναι μια σημαντική βελτίωση έναντι στην O(n!)

Η LU ανάλυση εκφράζει τον A λαμβάνοντας υπόψη ένα κάτω τριγωνικό πίνακα L, ένα άνω τριγωνικό πίνακα U και ένα πίνακα μετάθεση P:

Η ορίζουσα του L και του U μπορεί γρήγορα να υπολογιστεί,αφού είναι τα γινόμενα των στοιχείων της αντίστοιχης διαγωνίου. Η ορίζουσα του P είναι απλά το πρόσημο της αντίστοιχης μετάθεσης (που είναι +1 για ένα άρτιο αριθμό μεταθέσεων και −1 για ένα περιττό αριθμό μεταθέσεων). Η ορίζουσα του A είναι τότε

Επιπρόσθετα, η ανάλυση μπορεί να επιλεγεί έτσι ώστε ο L να είναι ένας μη τριγωνικός πίνακας και γι αυτό έχει ορίζουσα 1, σε αυτή την περίπτωση ο τύπος απλοποιείται επιπλέον

Επιπρόσθετες μέθοδοι[]

Αν η ορίζουσα του A και ο αντίστροφος του A έχουν ήδη υπολογιστεί, το λήμμα ορίζουσας πίνακα μας επιτρέπει να υπολογίσουμε γρήγορα την ορίζουσα του A + uvT, όπου u και v είναι διανύσματα στήλης.

Δεδομένου ότι ο ορισμός της ορίζουσας δεν χρειάζεται διαιρέσεις, προκύπτει ένα ερώτημα: υπάρχουν γρήγοροι αλγόριθμοι που δεν χρειάζονται διαιρέσεις; Αυτό είναι ιδιαίτερα ενδιαφέρον για τους πίνακες πάνω σε δακτυλίους. Πράγματι αλγόριθμοι με χρόνο εκτέλεσης αναλογικά με το n4 υπάρχει. Ένας αλγόριθμος από τον Mahajan, τον Vinay, και τον Berkowitz[10] είναι βασισμένος σε κλειστούς διατεταγμένους περιπάτους. Υπολογίζει περισσότερα γινόμενα από όσα απαιτεί ο ορισμός της ορίζουσας, αλλά μερικά από αυτά τα γινόμενα ακυρώνονται και το άθροισμα τους μπορεί να υπολογιστεί ικανοποιητικά. Ο τελικός αλγόριθμος μοιάζει πολύ με ένα επαναλαμβανόμενο γινόμενο τριγωνικών πινάκων.

Αν δύο πίνακες τάξης n μπορούν να πολλαπλασιαστούν επί M(n), όπου M(n) ≥ na για κάποια a > 2, τότε η ορίζουσα μπορεί να υπολογιστεί επί O(M(n)).[11] Αυτό σημαίνει, για παράδειγμα, ότι ένας O(n2.376) αλγόριθμος υπάρχει βασισμένος στον αλγόριθμο Coppersmith–Winograd.

Οι αλγόριθμοι μπορούν επίσης να αξιολογούνται σύμφωνα με πολυπλοκότητα των bit, δηλ., πόσα bits ακρίβειας χρειάζονται για να αποθηκευτούν οι ενδιάμεσες τιμές που συμβαίνουν στον υπολογισμό. Για παράδειγμα, η απαλοιφή του Gauss (ή LU ανάλυση) μέθοδοι είναι της τάξης O(n3), αλλά το μήκος των bit των ενδιαμέσων τιμών μπορεί μπορεί να γίνει εκθετικά μεγάλο.[12] Ο αλγόριθμος Bareiss,από την άλλη μεριά, είναι μια ακριβής μέθοδος διαίρεσης βασίζεται στην ταυτότητα του Sylvester είναι επίσης τάξης n3, αλλά η περιπλοκότητα των bit είναι περίπου το μέγεθος των bit των αρχικών στοιχείων του πίνακα επί n.[13]

Ιστορία[]

Ιστορικά, οι ορίζουσες θεωρούνταν ότι δεν είχαν σχέση με τους πίνακες: αρχικά, η ορίζουσα ορίστηκε σαν μια ιδότητα ενός συστήματος γραμμικών εξισώσεων. Η ορίζουσα "αποφασίζει" αν το σύστημα έχει μοναδική λύση(το οποίο συμβαίνει ακριβώς όταν η ορίζουσα είναι μη μηδενική). Με αυτή την έννοια, οι ορίζουσες χρησιμοποιήθηκαν πρώτα στο Κινέζικο βιβλίο μαθηματικών The Nine Chapters on the Mathematical Art (九章算術, Κινέζοι επιστήμονες, γύρω στον 3ο αιώνα π.Χ.). Στην Ευρώπη, οι δύο×δύο ορίζουσες μελετήθηκαν από τον Cardano στο τέλος του 16ου αιώνα και οι μεγαλύτερες από τονLeibniz.[14][15][16][17]

Στην Ευρώπη, ο Cramer (1750) πρόσθεσε στη θεωρία, διαπραγματευόμενος το θέμα σε σχέση με τα σύνολα εξισώσεων. Ο νόμος επανάληψης ανακοινώθηκε για πρώτη φορά από τον Bézout (1764).

Ο Vandermonde (1771) ήταν αυτός ο οποίος αναγνώρισε πρώτος τις ορίζουσες σαν ανεξάρτητες συναρτήσεις.[14]Ο Laplace (1772) [18][19] έδωσε τη γενική μέθοδο αναπτύγματος της ορίζουσας λαμβάνοντας υπόψη τις συμπληρωματικές τις ελάσσονες ορίζουσες: ο Vandermonde είχε ήδη δώσει μια ειδική περίπτωση. Αμέσως μετά, ο Lagrange (1773) μεταχειρίστηκε τις ορίζουσες δεύτερης και τρίτης τάξης. Ο Lagrange ήταν ο πρώτος που εφάρμοσε τις ορίζουσες στα θέματα τηςθεωρίας απαλοιφής. Απέδειξε πολλές ειδικές περιπτώσεις της γενικής ταυτότητας.

Ο Gauss (1801) έκανε τη επόμενη πρόοδο. Όπως ο Lagrange, έκανε αρκετή χρήση των οριζουσών στη θεωρία αριθμών. Αυτός εισήγαγε τη λέξη ορίζουσες (ο Laplace χρησιμοποιούσε συνισταμένη), αν και όχι με την σημερινή σημασία, αλλά μάλλον ως εφαρμογή για την διακρίνουσα μιας τεταρτοβάθμιας. Ο Gauss επίσης έφτασε στην έννοια των ανάστροφων (ή αντίστροφων) οριζουσών, και πλησίασε πολύ κοντά στο θεώρημα πολλαπλασιασμού.

Ο επόμενος που συνεισέφερε ήταν ο Binet (1811, 1812), ο οποίος θεμελίωσε επίσημα το θεώρημα που αφορά το γινόμενο δύο πινάκων m στηλών και n γραμμών, το οποίο για την ειδική περίπτωση που m = n ανάγει το θεώρημα πολλαπλασιασμού. Την ίδια ημέρα (30 Νοεμβρίου, 1812) που ο Binet παρουσίασε την εργασία του στην Ακαδημία, ο Cauchy επίσης παρουσίασε μία με το ίδιο θέμα. Σε αυτήν χρησιμοποίησε τη λέξη ορίζουσα με τη σημερινή της σημασία,[20][21] συνοψίζοντας και απλοποιώντας ό,τι ήταν γνωστό ως τότε πάνω στο θέμα, βελτιώνοντας τον συμβολισμό , και έδωσε το θεώρημα πολλαπλασιασμού με μια απόδειξη πιο ικανοποιητική από του Binet. [22] Με αυτόν ξεκινά το θεώρημα στην γενικότητά του.

Η επόμενη σημαντική φιγούρα ήταν ο Jacobi (από το 1827). Νωρίς χρησιμοποίησε την συναρτησιακή ορίζουσα που ο Sylvester αργότερα ονόμασε Ιακωβιανή, και στα απομνημονεύματά του στο Crelle για το 1841 που αντιμετώπισε ειδικά αυτό το θέμα, καθώς η κλάση των εναλλασσόμενων συναρτήσεων τις οποίες ο Sylvester ονόμασε εναλλάσσουσες ορίζουσες. Τον καιρό που ο Jacobi τελείωνε τα απομνημονεύματά του, ο Sylvester (1839) και ο Cayley ξεκίνησαν το δικό του έργο.[23][24]

Η μελέτη ειδικών μορφών της ορίζουσας ήταν ένα φυσικό επακόλουθο της τελειοποίησης της γενικής θεωρίας. Αξονοσυμμετρικές ορίζουσες μελετήθηκαν από τον Lebesgue, τον Hesse, και τον Sylvester; αντισυμμετρικές ορίζουσες από τον Sylvester και τον Hankel. Κυκλοτερείς από τον Catalan, τον Spottiswoode, τον Glaisher, και τον Scott, ασύμμετρες ορίζουσες και μορφές του Pfaff, σε σχέση με τη θεωρία του ορθογώνιου μετασχηματισμού,από τον Cayley, συνεχίστηκαν από τον Sylvester, οι ορίζουσες του Wronski (όπως ονομάστηκαν από τον Muir) από τον Christoffel και τον Frobenius, σύνθετες ορίζουσες από τον Sylvester, τον Reiss, και τον Picquet, οι Ιακωβιανές και οι Εσσιανέςαπό τον Sylvester και οι συμμετρικής βαθμίδας ορίζουσες από τον Trudi. Από τα εγχειρίδια για το θέμα του Spottiswoode ήταν το πρώτο. Στην Αμερική, ο Hanus (1886), ο Weld (1893), και ο Muir/Metzler (1933) δημοσίευσαν τις πραγματείες τους.

Εφαρμογές[]

Γραμμική ανεξαρτησία[]

Όπως αναφέρθηκε παραπάνω, η ορίζουσα ενός πίνακα (με στοιχεία πραγματικούς ή μιγαδικούς αριθμούς) είναι μηδέν αν και μόνον αν τα διανύσματα στήλης του πίνακα είναι γραμμικά εξαρτημένα. Έτσι, οι ορίζουσες μπορούν να χρησιμοποιηθούν για να χαρακτηρίσουν γραμμικά εξαρτημένα διανύσματα. Για παράδειγμα, δίνονται δύο γραμμικά ανεξάρτητα διανύσματα v1, v2 στο R3, ένα τρίτο διάνυσμα v3 κείται στο επίπεδο που παράγεται από τα προηγούμενα δύο διανύσματα ακριβώς όταν η ορίζουσα του 3 × 3 πίνακα που αποτελείται από τα τρία διανύσματα είναι μηδέν. Η ίδια ιδέα χρησιμοποιείται και στην θεωρία των διαφορικών εξισώσεων: δίνονται n συναρτήσεις f1(x), ..., fn(x) (υποθέτουμε ότι είναιn−1 φορές διαφορίσιμες), η ορίζουσα του Wronski ορίζεται να είναι

Είναι μη μηδενική (για κάποια x) σε ένα συγκεκριμένο διάστημα αν και μόνον αν οι δοθείσες συναρτήσεις και όλες οι παράγωγοί τους μέχρι τάξης n−1 είναι γραμμικά ανεξάρτητες. Αν μπορεί να δειχθεί ότι η Wronskian είναι παντού μηδέν σε ένα διάστημα τότε, στην περίπτωση των αναλυτικών συναρτήσεων, αυτό συνεπάγεται ότι οι δοθείσες συναρτήσεις είναι γραμμικά εξαρτημένες.

Προσανατολισμός μιας βάσης[]

Η ορίζουσα μπορεί να θεωρηθεί ως η ανάθεση ενός αριθμού σε κάθε ακολουθία από n διανύσματα του Rn, χρησιμοποιώντας τον τετραγωνικό πίνακα του οποίου οι στήλες είναι τα δοθέντα διανύσματα.

Για παράδειγμα, ένας ορθογώνιος πίνακας με στοιχεία από το Rn παριστάνει μια ορθοκανονική βάση στον Ευκλείδειο χώρο. Η ορίζουσα ενός τέτοιου πίνακα αποφαίνεται για το αν ο προσανατολισμός της βάσης είναι συνεπής ή αντίθετος με τον προσανατολισμό της κανονικής βάσης. Αν η ορίζουσα είναι +1, η βάση έχει τον ίδιο προσανατολισμό. Αν είναι −1, η βάση έχει τον αντίθετο προσανατολισμό.

Γενικότερα, αν η ορίζουσα ενός πίνακα A είναι θετική, ο A αναπαριστά ένα προσανατολισμό που διατηρείται μεσώ των γραμμικών μετασχηματισμών (αν ο A είναι ένας ορθογώνιος 2×2 ή 3 × 3 πίνακας, αυτή είναι μια περιστροφή), ενώ αν είναι αρνητική, ο A αλλάζει τον προσανατολισμό της βάσης.

Όγκος και Ιακωβιανή ορίζουσα[]

Όπως επισημάνθηκε παραπάνω, η απόλυτη τιμή της ορίζουσας πραγματικών διανυσμάτων ισούται με τον όγκο του παραλληλεπιπέδου που ορίζεται από αυτά τα διανύσματα. Σαν συνέπεια, αν η f: RnRn είναι η γραμμική απεικόνιση που παριστάνεται από τον πίνακα A, και το S είναι κάποιο μετρήσιμο υποσύνολο του Rn, τότε ο όγκος της f(S) δίνεται από την |det(A)| επί τον όγκο του S. Γενικότερα, αν η γραμμική απεικόνιση f: RnRm παριστάνεται από τον m × n matrix A, τότε ο n-διάστατος όγκος της f(S) δίνεται από:

Υπολογίζοντας τον όγκο του τετράεδρου που οριοθετείται από τέσσερα σημεία, μπορούν να χρησιμοποιηθούν για να ορίσουν ασύμβατες ευθείες.Ο όγκος οποιουδήποτε τετράεδρου, δίνεται από τις κορυφές του a, b, c, και d, είναι (1/6)·|det(a − bb − c, c − d)|, ή με οποιονδήποτε άλλο συνδυασμό από ζεύγη κορυφών που θα σχημάτιζαν ένα δένδρο που ενώνει τις κορυφές.

Για μια γενική Διαφορίσιμη Συνάρτηση, πολλά από τα παραπάνω μεταφέρονται λαμβάνοντας υπόψη τον Ιακωβιανό πίνακα της f. Για

ο Ιακωβιανός είναι ο n × n πίνακας του οποίου τα στοιχειά δίνονται από

Η ορίζουσά της, η Ιακωβιανή ορίζουσα εμφανίζεται σε μεγαλύτερης διάστασης εκδοχές της ολοκλήρωσης με αντικατάσταση: για κατάλληλη f και ένα ανοικτό υποσύνολο U του R'n (το πεδίο ορισμού της f), το ολοκλήρωμα από την f(U) σε κάποια άλλη συνάρτηση φ: RnRm δίνεται από

Η Ιακωβιανή επίσης εμφανίζεται στο θεώρημα αντίστροφης συνάρτησης.

Ορίζουσα του Vandermonde(εναλλάσσουσα ορίζουσα)[]

Τρίτη τάξη

Γενικά, η nοστής τάξης ορίζουσα του Vandermonde είναι [25]

όπου η δεξιά πλευρά είναι το συνεχόμενο γινόμενο όλων των διαφορών που μπορούν να σχηματιστούν από τα n(n−1)/2 ζεύγη αριθμών που λαμβάνονται από τα x1, x2, ..., xn, με τη σειρά που οι διαφορές λαμβάνονται στην αντίστροφη διάταξη από τις καταλήξεις που εμπλέκονται.

Κυκλοτερείς[]

Δεύτερη τάξη

Τρίτη τάξη

όπου ω και ω2 είναι οι μιγαδικές κυβικές ρίζες του 1. Γενικά, η nοστής τάξης κυκλοτερής ορίζουσα είναι[25]

όπου ωj είναι μια nοστή ρίζα του 1.

Προσανατολισμός[]

Η ορίζουσα μίας μήτρας είναι ο προσανατολισμένος όγκος του παραλληλεπιπέδου που σχηματίζεται από τα διανύσματα στηλών του.

Είναι μια βαθμωτή τιμή που αντιπροσωπεύει τόσο τον "προσεσημασμένο όγκο" όσο και τον συντελεστή κλίμακας του μετασχηματισμού που αντιπροσωπεύεται από την μήτρα.

Μια θετική ορίζουσα υποδεικνύει ότι ο μετασχηματισμός διατηρεί τον προσανατολισμό, ενώ μια αρνητική ορίζουσα σημαίνει ότι αντιστρέφει τον προσανατολισμό. Η απόλυτη τιμή της ορίζουσας δίνει τον τυπικό, μη αρνητικό όγκο. Βασικές έννοιες Προσημασμένος όγκος: Η ορίζουσα συχνά ονομάζεται "προσημασμένος όγκος" επειδή το πρόσημό της υποδεικνύει τον προσανατολισμό του χώρου.Κλιμάκωση μετασχηματισμού: Η ορίζουσα δείχνει πόσο ένας γραμμικός μετασχηματισμός κλιμακώνει τον όγκο. Μια ορίζουσα \(2\) σημαίνει ότι ο όγκος διπλασιάζεται, ενώ μια ορίζουσα \(0,5\) σημαίνει ότι ο όγκος μειώνεται στο μισό. Αντιστροφή προσανατολισμού: Μια αρνητική ορίζουσα υποδεικνύει ότι ο μετασχηματισμός έχει αλλάξει τον προσανατολισμό του χώρου. Για παράδειγμα, μια ανάκλαση θα έχει αρνητική ορίζουσα

Υποσημειώσεις[]

  1. Serge Lang, Linear Algebra, 2nd Edition, Addison-Wesley, 1971, pp 173, 191.
  2. Σε ένα μη αντιμεταθετικό ορισμό, η αριστερή γραμμικότητα (αριστερός πολλαπλασιασμός με αριθμητικά) θα πρέπει να διακρίνεται από την δεξιά γραμμικότητα. Υποθέτοντας ότι η γραμμικότητα στις στήλες είναι αριστερή γραμμικότητα, θα έχουμε για τα αριθμητικά a, b:
    μία αντίφαση. Οι πολυγραμμικές συναρτήσεις δεν έχουν νόημα σε μη αντιμεταθετικούς δακτυλίους.
  3. Οι αποδείξεις μπορούν να βρεθούν στο http://www.ee.ic.ac.uk/hp/staff/dmb/matrix/proof003.html
  4. Ken Habgood, Itamar Arel, A condensation-based application of Cramerʼs rule for solving large-scale linear systems, Journal of Discrete Algorithms, 10 (2012), σ. 98–109. Διαθέσιμο στο διαδίκτυο 1 July 2011, ISSN 1570–8667, 10.1016/j.jda.2011.06.007.
  5. Αυτές οι ταυτότητες βρίσκονται στην http://www.ee.ic.ac.uk/hp/staff/dmb/matrix/proof003.html
  6. Οι αποδείξεις δίνονται στο J.R. Silvester, Determinants of Block Matrices, Math. Gazette, 84 (2000), σ. 460–467, διαθέσιμες στην http://www.jstor.org/stable/3620776
  7. Roger Godement, Cours d'Algèbre, seconde édition, Hermann (1966), §23, Théorème 5, σ. 303
  8. Varadarajan, V. S (2004), Supersymmetry for mathematicians: An introduction, ISBN 978-0-8218-3574-6, http://books.google.com/?id=sZ1-G4hQgIIC&pg=PA116&dq=Berezinian#v=onepage&q=Berezinian&f=false 
  9. L. N. Trefethen and D. Bau, Numerical Linear Algebra (SIAM, 1997). π.χ. στην Διάλεξη 1: "... αναφέρουμε ότι η ορίζουσα,αν και είναι μια βολική έννοια θεωρητικά, σπάνια βρίσκεις κάποιο χρήσιμο ρόλο στους αριθμητικούς αλγορίθμους."
  10. http://page.inf.fu-berlin.de/~rote/Papers/pdf/Division-free+algorithms.pdf
  11. J.R. Bunch and J.E. Hopcroft, Triangular factorization and inversion by fast matrix multiplication, Mathematics of Computation, 28 (1974) 231–236.
  12. Πρότυπο:Cite conferenceΠρότυπο:Dead link
  13. Bareiss, Erwin (1968), "Sylvester's Identity and Multistep Integer-Preserving Gaussian Elimination", Mathematics of computation 22 (102): 565–578, http://www.ams.org/journals/mcom/1968-22-103/S0025-5718-1968-0226829-0/S0025-5718-1968-0226829-0.pdf 
  14. 14,0 14,1 Campbell, H: "Linear Algebra With Applications", σ. 111–112. Appleton Century Crofts, 1971
  15. Eves, H: "An Introduction to the History of Mathematics", σ. 405, 493–494, Saunders College Publishing, 1990.
  16. A Brief History of Linear Algebra and Matrix Theory : http://darkwing.uoregon.edu/~vitulli/441.sp04/LinAlgHistory.html
  17. Cajori, F. A History of Mathematics σ. 80
  18. Expansion of determinants in terms of minors: Laplace, Pierre-Simon (de) "Researches sur le calcul intégral et sur le systéme du monde," Histoire de l'Académie Royale des Sciences (Παρίσι), seconde partie, σ. 267–376 (1772).
  19. Muir, Sir Thomas, The Theory of Determinants in the historical Order of Development [Λονδίνο, Αγγλία: Macmillan and Co., Ltd., 1906]. Πρότυπο:JFM
  20. Η πρώτη χρήση της λέξης "ορίζουσα" με την σύγχρονη σημασία εμφανίσθηκε στο: Cauchy, Augustin-Louis “Memoire sur les fonctions qui ne peuvent obtenir que deux valeurs égales et des signes contraires par suite des transpositions operées entre les variables qu'elles renferment," το οποίο ήταν το πρώτο που διαβάστηκε στο Institute de France του Παρισιού στις 30 Νοεμβρίου, 1812, και το οποίο μεταγενέστερα δημοσιεύτηκε στο Journal de l'Ecole Polytechnique, Cahier 17, Tome 10, σ. 29–112 (1815).
  21. Προέλευση των μαθηματικών όρων: http://jeff560.tripod.com/d.html
  22. Ιστορία των πινάκων και των οριζουσων : http://www-history.mcs.st-and.ac.uk/history/HistTopics/Matrices_and_determinants.html
  23. Η πρώτη χρήση ασύμβατων ευθειών για να ορισθεί η ορίζουσα εμφανίστηκε στο: Cayley, Arthur "On a theorem in the geometry of position," Cambridge Mathematical Journal, vol. 2,σ.267–271 (1841).
  24. Ιστορία του συμβολισμού των πινάκων: http://jeff560.tripod.com/matrices.html
  25. 25,0 25,1 Gradshteyn, I. S., I. M. Ryzhik: "Table of Integrals, Series, and Products", 14.31, Elsevier, 2007.

Εσωτερική Αρθρογραφία[]

Βιβλιογραφία[]

Ιστογραφία[]


Ikl Κίνδυνοι ΧρήσηςIkl

Αν και θα βρείτε εξακριβωμένες πληροφορίες
σε αυτήν την εγκυκλοπαίδεια
ωστόσο, παρακαλούμε να λάβετε σοβαρά υπ' όψη ότι
η "Sciencepedia" δεν μπορεί να εγγυηθεί, από καμιά άποψη,
την εγκυρότητα των πληροφοριών που περιλαμβάνει.

"Οι πληροφορίες αυτές μπορεί πρόσφατα
να έχουν αλλοιωθεί, βανδαλισθεί ή μεταβληθεί από κάποιο άτομο,
η άποψη του οποίου δεν συνάδει με το "επίπεδο γνώσης"
του ιδιαίτερου γνωστικού τομέα που σας ενδιαφέρει."

Πρέπει να λάβετε υπ' όψη ότι
όλα τα άρθρα μπορεί να είναι ακριβή, γενικώς,
και για μακρά χρονική περίοδο,
αλλά να υποστούν κάποιο βανδαλισμό ή ακατάλληλη επεξεργασία,
ελάχιστο χρονικό διάστημα, πριν τα δείτε.



Επίσης,
Οι διάφοροι "Εξωτερικοί Σύνδεσμοι (Links)"
(όχι μόνον, της Sciencepedia
αλλά και κάθε διαδικτυακού ιστότοπου (ή αλλιώς site)),
αν και άκρως απαραίτητοι,
είναι αδύνατον να ελεγχθούν
(λόγω της ρευστής φύσης του Web),
και επομένως είναι ενδεχόμενο να οδηγήσουν
σε παραπλανητικό, κακόβουλο ή άσεμνο περιεχόμενο.
Ο αναγνώστης πρέπει να είναι
εξαιρετικά προσεκτικός όταν τους χρησιμοποιεί.

- Μην κάνετε χρήση του περιεχομένου της παρούσας εγκυκλοπαίδειας
αν διαφωνείτε με όσα αναγράφονται σε αυτήν

IonnKorr-System-00-goog



>>Διαμαρτυρία προς την wikia<<

- Όχι, στις διαφημίσεις που περιέχουν απαράδεκτο περιεχόμενο (άσεμνες εικόνες, ροζ αγγελίες κλπ.)