Science Wiki

Συνάρτησις Dirac

Dirac Function


Συνάρτηση Dirac

Συνάρτηση Dirac

Συνάρτηση Dirac

Συνάρτηση Dirac

Συνάρτηση Dirac

Συνάρτηση Dirac

Συνάρτηση Dirac

Συνάρτηση Dirac

Συνάρτηση Dirac

Συνάρτηση Dirac

Συνάρτηση Dirac

Συνάρτηση Dirac

Συνάρτηση Delta

Συνάρτηση Dirac

Συνάρτηση Dirac
Κυματοσωματιδιακός Δυισμός

Συνάρτηση Dirac

Συνάρτηση Dirac

Συνάρτηση Dirac

Συνάρτηση Dirac

Συνάρτηση Dirac

Συνάρτηση Dirac

  συνάρτηση Dirac

Κατάρρευση Κυματοσυνάρτησης
συνάρτηση Dirac

Μαθηματική Ανάλυση
Μαθηματική Συνάρτηση
Πεδίο Ορισμού
Πεδίο Τιμών
Ενάρτηση
Εφάρτηση
Αμφάρτηση
Συναρτησιακή Μονοτονία
Συναρτησιακή Συνέχεια
Συναρτησιακή Σύγκλιση

Βιοανάδυση
Συνάρτηση delta

- Μία ειδική συνάρτηση

Ετυμολογία[]

Η ονομασία "delta" σχετίζεται ετυμολογικά με την λέξη "Δέλτα".

Ορισμός[]

Ειδική συνάρτηση διαταραχής η οποία εφαρμόζεται στην είσοδο διαφόρων συστημάτων για την μελέτη του σήματος εξόδου.

The Dirac function is a "signal" with unit energy that is concentrated around

Εναλλακτικός Ορισμός:

This is a gaussian distribution with spread 0.

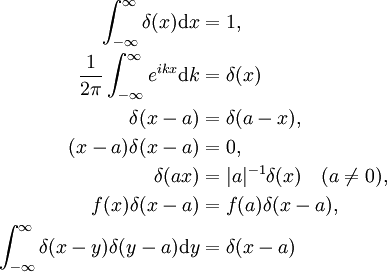
Ιδιότητες[]

Συμπεριφέρεται ανάλογα με το περίφημο delta του Kronecker

Μετατρέπει το απειροστικό ολοκλήρωμα μίας συνάρτησης
σε μία τιμή της (π.χ. )

Περιγραφή[]

NB: has no mathematical meaning, as isn't an ordinary function but a distribution.

The special nature of appears clearly e.g. when you try to square the same Gaussian distribution above and try to compute the same limit of the integral in . The result will be quite surprising: it is !

the Dirac delta function is NOT a wavefunction because it is not normalizable,

and since it is not normalizable it is outside of Hilbert space of states

  • it is eigenstate of position operator, but
  • it is not a wavefunction.

Convolution[]

Kronecker Delta Function[]

The Kronecker delta function is the discrete analogon of the Dirac function. It has Energy 1 and only a contribution at

Properties[]

Energy[]

Convolution[]

Εφαρμογές[]

Χρησιμοποιείται σε πολλές επιστήμες όπως:

Υποσημειώσεις[]

Βιβλιογραφία[]

Ιστογραφία[]


Ikl Κίνδυνοι ΧρήσηςIkl

Αν και θα βρείτε εξακριβωμένες πληροφορίες
σε αυτήν την εγκυκλοπαίδεια
ωστόσο, παρακαλούμε να λάβετε σοβαρά υπ' όψη ότι
η "Sciencepedia" δεν μπορεί να εγγυηθεί, από καμιά άποψη,
την εγκυρότητα των πληροφοριών που περιλαμβάνει.

"Οι πληροφορίες αυτές μπορεί πρόσφατα
να έχουν αλλοιωθεί, βανδαλισθεί ή μεταβληθεί από κάποιο άτομο,
η άποψη του οποίου δεν συνάδει με το "επίπεδο γνώσης"
του ιδιαίτερου γνωστικού τομέα που σας ενδιαφέρει."

Πρέπει να λάβετε υπ' όψη ότι
όλα τα άρθρα μπορεί να είναι ακριβή, γενικώς,
και για μακρά χρονική περίοδο,
αλλά να υποστούν κάποιο βανδαλισμό ή ακατάλληλη επεξεργασία,
ελάχιστο χρονικό διάστημα, πριν τα δείτε.



Επίσης,
Οι διάφοροι "Εξωτερικοί Σύνδεσμοι (Links)"
(όχι μόνον, της Sciencepedia
αλλά και κάθε διαδικτυακού ιστότοπου (ή αλλιώς site)),
αν και άκρως απαραίτητοι,
είναι αδύνατον να ελεγχθούν
(λόγω της ρευστής φύσης του Web),
και επομένως είναι ενδεχόμενο να οδηγήσουν
σε παραπλανητικό, κακόβουλο ή άσεμνο περιεχόμενο.
Ο αναγνώστης πρέπει να είναι
εξαιρετικά προσεκτικός όταν τους χρησιμοποιεί.

- Μην κάνετε χρήση του περιεχομένου της παρούσας εγκυκλοπαίδειας
αν διαφωνείτε με όσα αναγράφονται σε αυτήν

IonnKorr-System-00-goog



>>Διαμαρτυρία προς την wikia<<

- Όχι, στις διαφημίσεις που περιέχουν απαράδεκτο περιεχόμενο (άσεμνες εικόνες, ροζ αγγελίες κλπ.)