Science Wiki

Χωρική Μεταφορά

Space Translation


Χωρική Μεταφορά

Χωρική Μεταφορά

Απειροστός Γεννήτορας
Μεταφορά

Χωρική Μεταφορά

Χωρική Μεταφορά
Μεταφορά

  

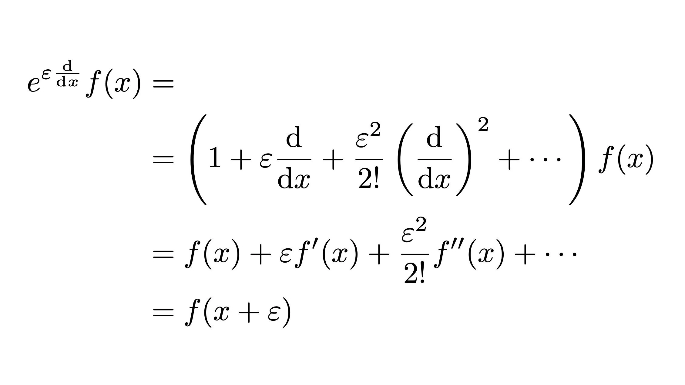
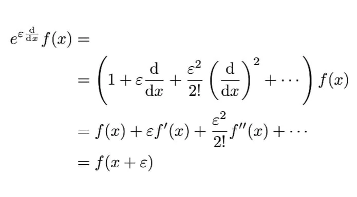
In physics, this is why we call the derivative operator the "generator of translations"

Απειροστός Γεννήτορας
Παράγωγος
In physics, this is why we call the derivative operator the "generator of translations"


 
 

   

   Χωρική Μεταφορά

Μετασχηματισμός Μετασχηματισμοί
Σημειακός Μετασχηματισμός Συνεχής Μετασχηματισμός Διακριτός Μετασχηματισμός
Χρονική Αναστροφή Χωρική Αναστροφή Χρονική Μεταφορά Χωρική Μεταφορά Χρονική Στροφή Χωρική Στροφή
Αβελιανός Μετασχηματισμός Αναβελιανός Μετασχηματισμός Γαλιλαϊκός Μετασχηματισμός Μετασχηματισμός Lorentz Μετασχηματισμός Poincare

Χωρική Ομογένεια

Μετασχηματισμός Ενεργητικός Μετασχηματισμός Παθητικός Μετασχηματισμός Μετασχηματισμός Στροφής

- Ένας μετασχηματισμός.

Ετυμολογία[]

Περιγραφή[]

Υποσημειώσεις[]

Εσωτερική Αρθρογραφία[]

Βιβλιογραφία[]

Ιστογραφία[]


Ikl Κίνδυνοι ΧρήσηςIkl

Αν και θα βρείτε εξακριβωμένες πληροφορίες
σε αυτήν την εγκυκλοπαίδεια
ωστόσο, παρακαλούμε να λάβετε σοβαρά υπ' όψη ότι
η "Sciencepedia" δεν μπορεί να εγγυηθεί, από καμιά άποψη,
την εγκυρότητα των πληροφοριών που περιλαμβάνει.

"Οι πληροφορίες αυτές μπορεί πρόσφατα
να έχουν αλλοιωθεί, βανδαλισθεί ή μεταβληθεί από κάποιο άτομο,
η άποψη του οποίου δεν συνάδει με το "επίπεδο γνώσης"
του ιδιαίτερου γνωστικού τομέα που σας ενδιαφέρει."

Πρέπει να λάβετε υπ' όψη ότι
όλα τα άρθρα μπορεί να είναι ακριβή, γενικώς,
και για μακρά χρονική περίοδο,
αλλά να υποστούν κάποιο βανδαλισμό ή ακατάλληλη επεξεργασία,
ελάχιστο χρονικό διάστημα, πριν τα δείτε.



Επίσης,
Οι διάφοροι "Εξωτερικοί Σύνδεσμοι (Links)"
(όχι μόνον, της Sciencepedia
αλλά και κάθε διαδικτυακού ιστότοπου (ή αλλιώς site)),
αν και άκρως απαραίτητοι,
είναι αδύνατον να ελεγχθούν
(λόγω της ρευστής φύσης του Web),
και επομένως είναι ενδεχόμενο να οδηγήσουν
σε παραπλανητικό, κακόβουλο ή άσεμνο περιεχόμενο.
Ο αναγνώστης πρέπει να είναι
εξαιρετικά προσεκτικός όταν τους χρησιμοποιεί.

- Μην κάνετε χρήση του περιεχομένου της παρούσας εγκυκλοπαίδειας
αν διαφωνείτε με όσα αναγράφονται σε αυτήν

IonnKorr-System-00-goog



>>Διαμαρτυρία προς την wikia<<

- Όχι, στις διαφημίσεις που περιέχουν απαράδεκτο περιεχόμενο (άσεμνες εικόνες, ροζ αγγελίες κλπ.)