https://ru.wikipedia.org/wiki/%D0%90%D1%82%D0%BE%D0%BC
Сравнительный размер атома гелия и его ядра
А́том (от др.-греч. ἄτομος — неделимый) — частица вещества микроскопических размеров и массы, наименьшая часть химического элемента, являющаяся носителем его свойств.[1][2]
Атом состоит из атомного ядра и электронов. Если число протонов в ядре совпадает с числом электронов, то атом в целом оказывается электрически нейтральным. В противном случае он обладает некоторым положительным или отрицательным зарядом и называется ионом.[1] В некоторых случаях под атомами понимают только электронейтральные системы, в которых заряд ядра равен суммарному заряду электронов, тем самым противопоставляя их электрически заряженным ионам.[2][3]
Ядро, несущее почти всю (более чем 99,9 %) массу атома, состоит из положительно заряженных протонов и незаряженных нейтронов, связанных между собой при помощи сильного взаимодействия. Атомы классифицируются по количеству протонов и нейтронов в ядре: число протонов Z соответствует порядковому номеру атома в периодической системе и определяет его принадлежность к некоторому химическому элементу, а число нейтронов N — определённому изотопу этого элемента. Число Z также определяет суммарный положительный электрический заряд (Ze) атомного ядра и число электронов в нейтральном атоме, задающее его размер.[4]
Атомы различного вида в разных количествах, связанные межатомными связями, образуют молекулы.
Краткий обзор различных семейств элементарных и составных частиц, и теории, описывающие их взаимодействия. Фермионы — слева, бозоны — справа. (Изображение интерактивно.)
История становления понятия[]
Понятие об атоме как о наименьшей неделимой части материи было впервые сформулировано древнеиндийскими и древнегреческими философами (см.: атомизм). В XVII и XVIII веках химикам удалось экспериментально подтвердить эту идею, показав, что некоторые вещества не могут быть подвергнуты дальнейшему расщеплению на составляющие элементы с помощью химических методов. Однако в конце XIX — начале XX века физиками были открыты субатомные частицы и составная структура атома, и стало ясно, что атом в действительности не является неделимым.
На международном съезде химиков в Карлсруэ (Германия) в 1860 году были приняты определения понятий молекулы и атома. Атом — наименьшая частица химического элемента, входящая в состав простых и сложных веществ.
Модели атомов[]
- Кусочки материи. Демокрит полагал, что свойства того или иного вещества определяются формой, массой, и пр. характеристиками образующих его атомов. Так, скажем, у огня атомы остры, поэтому огонь способен обжигать, у твёрдых тел они шероховаты, поэтому накрепко сцепляются друг с другом, у воды — гладки, поэтому она способна течь. Даже душа человека, согласно Демокриту, состоит из атомов.[5]
- Модель атома Томсона (модель «Пудинг с изюмом»). Дж. Дж. Томсон предложил рассматривать атом как некоторое положительно заряженное тело с заключёнными внутри него электронами. Была окончательно опровергнута Резерфордом после проведённого им знаменитого опыта по рассеиванию альфа-частиц.
- Ранняя планетарная модель атома Нагаоки. В 1904 году японский физик Хантаро Нагаока предложил модель атома, построенную по аналогии с планетой Сатурн. В этой модели вокруг маленького положительного ядра по орбитам вращались электроны, объединённые в кольца. Модель оказалась ошибочной.
- Планетарная модель атома Бора-Резерфорда. В 1911 году[6] Эрнест Резерфорд, проделав ряд экспериментов, пришёл к выводу, что атом представляет собой подобие планетной системы, в которой электроны движутся по орбитам вокруг расположенного в центре атома тяжёлого положительно заряженного ядра («модель атома Резерфорда»). Однако такое описание атома вошло в противоречие с классической электродинамикой. Дело в том, что, согласно классической электродинамике, электрон при движении с центростремительным ускорением должен излучать электромагнитные волны, а, следовательно, терять энергию. Расчёты показывали, что время, за которое электрон в таком атоме упадёт на ядро, совершенно ничтожно. Для объяснения стабильности атомов Нильсу Бору пришлось ввести постулаты, которые сводились к тому, что электрон в атоме, находясь в некоторых специальных энергетических состояниях, не излучает энергию («модель атома Бора-Резерфорда»). Постулаты Бора показали, что для описания атома классическая механика неприменима. Дальнейшее изучение излучения атома привело к созданию квантовой механики, которая позволила объяснить подавляющее большинство наблюдаемых фактов.
Квантово-механическая модель атома[]
Современная модель атома является развитием планетарной модели Бора-Резерфорда. Согласно современной модели, ядро атома состоит из положительно заряженных протонов и не имеющих заряда нейтронов и окружено отрицательно заряженными электронами. Однако представления квантовой механики не позволяют считать, что электроны движутся вокруг ядра по сколько-нибудь определённым траекториям (неопределённость координаты электрона в атоме может быть сравнима с размерами самого атома).
Химические свойства атомов определяются конфигурацией электронной оболочки и описываются квантовой механикой. Положение атома в таблице Менделеева определяется электрическим зарядом его ядра (то есть количеством протонов), в то время как количество нейтронов принципиально не влияет на химические свойства; при этом нейтронов в ядре, как правило, больше, чем протонов (см.: атомное ядро). Если атом находится в нейтральном состоянии, то количество электронов в нём равно количеству протонов. Основная масса атома сосредоточена в ядре, а массовая доля электронов в общей массе атома незначительна (несколько сотых процента массы ядра).
Массу атома принято измерять в атомных единицах массы, равных 1⁄12 от массы атома стабильного изотопа углерода 12C.
Строение атома[]
Субатомные частицы[]
Хотя слово атом в первоначальном значении обозначало частицу, которая не делится на меньшие части, согласно научным представлениям он состоит из более мелких частиц, называемых субатомными частицами. Атом состоит из электронов, протонов, все атомы, кроме водорода-1, содержат также нейтроны.
Электрон является самой лёгкой из составляющих атом частиц с массой 9,11×10−31 кг, отрицательным зарядом и размером, слишком малым для измерения современными методами.[7] Протоны обладают положительным зарядом и в 1836 раз тяжелее электрона (1,6726×10−27 кг). Нейтроны не обладают электрическим зарядом и в 1839 раз тяжелее электрона (1,6929×10−27 кг).[8]
При этом масса ядра меньше суммы масс составляющих его протонов и нейтронов из-за эффекта дефекта массы. Нейтроны и протоны имеют сравнимый размер, около 2,5×10−15 м, хотя размеры этих частиц определены плохо.[9]
В стандартной модели элементарных частиц как протоны, так и нейтроны состоят из элементарных частиц, называемых кварками. Наряду с лептонами, кварки являются одной из основных составляющих материи. И первые и вторые являются фермионами. Существует шесть типов кварков, каждый из которых имеет дробный электрический заряд, равный +2⁄3 или −1⁄3 элементарного. Протоны состоят из двух u-кварков и одного d-кварка, а нейтрон — из одного u-кварка и двух d-кварков. Это различие объясняет разницу в массах и зарядах протона и нейтрона. Кварки связаны между собой сильными ядерными взаимодействиями, которые передаются глюонами.[10][11]
Электроны в атоме[]
При описании электронов в атоме в рамках квантовой механики обычно рассматривают распределение вероятности в 3n-мерном пространстве для системы n электронов.
Электроны в атоме притягиваются к ядру, между электронами также действует кулоновское взаимодействие. Эти же силы удерживают электроны внутри потенциального барьера, окружающего ядро. Для того чтобы электрон смог преодолеть притяжение ядра, ему необходимо получить энергию от внешнего источника. Чем ближе электрон находится к ядру, тем больше энергии для этого необходимо.
Электронам, как и другим частицам, свойственен корпускулярно-волновой дуализм. Иногда говорят, что электрон движется по орбитали, что неверно. Состояние электронов описывается волновой функцией, квадрат модуля которой характеризует плотность вероятности нахождения частиц в данной точке пространства в данный момент времени, или, в общем случае, оператором плотности. Существует дискретный набор атомных орбиталей, которым соответствуют стационарные чистые состояния электронов в атоме.
Каждой орбитали соответствует свой уровень энергии. Электрон может перейти на уровень с большей энергией, поглотив фотон. При этом он окажется в новом квантовом состоянии с большей энергией. Аналогично, он может перейти на уровень с меньшей энергией, излучив фотон. Энергия фотона при этом будет равна разности энергий электрона на этих уровнях (см.: постулаты Бора).
Свойства атома[]
По определению, любые два атома с одним и тем же числом протонов в их ядрах относятся к одному химическому элементу. Атомы с одним и тем же количеством протонов, но разным количеством нейтронов называют изотопами данного элемента. Например, атомы водорода всегда содержат один протон, но существуют изотопы без нейтронов (водород-1, иногда также называемый протием — наиболее распространённая форма), с одним нейтроном (дейтерий) и двумя нейтронами (тритий).[12] Известные элементы составляют непрерывный натуральный ряд по числу протонов в ядре, начиная с атома водорода с одним протоном и заканчивая атомом унуноктия, в ядре которого 118 протонов.[13] Все изотопы элементов периодической системы, начиная с номера 83 (висмут), радиоактивны.[14][15]
Масса[]
Поскольку наибольший вклад в массу атома вносят протоны и нейтроны, суммарное число этих частиц называют массовым числом. Массу покоя атома часто выражают в атомных единицах массы (а. е. м.), которая также называется дальтоном (Да). Эта единица определяется как 1⁄12 часть массы покоя нейтрального атома углерода-12, которая приблизительно равна 1,66×10−24 г.[16] Водород-1 — наилегчайший изотоп водорода и атом с наименьшей массой, имеет атомный вес около 1,007825 а. е. м.[17] Масса атома приблизительно равна произведению массового числа на атомную единицу массы[18] Самый тяжёлый стабильный изотоп — свинец-208[14] с массой 207,9766521 а. е. м.[19]
Так как массы даже самых тяжёлых атомов в обычных единицах (например, в граммах) очень малы, то в химии для измерения этих масс используют моли. В одном моле любого вещества по определению содержится одно и то же число атомов (примерно 6,022×1023). Это число (число Авогадро) выбрано таким образом, что если масса элемента равна 1 а. е. м., то моль атомов этого элемента будет иметь массу 1 г. Например, углерод имеет массу 12 а. е. м., поэтому 1 моль углерода весит 12 г.[16]
Размер[]
Атомы не имеют отчётливо выраженной внешней границы, поэтому их размеры определяются по расстоянию между ядрами соседних атомов, которые образовали химическую связь (Ковалентный радиус) или по расстоянию до самой дальней из стабильных орбит электронов в электронной оболочке этого атома (Радиус атома). Радиус зависит от положения атома в периодической системе, вида химической связи, числа ближайших атомов (координационного числа) и квантово-механического свойства, известного как спин.[20] В периодической системе элементов размер атома увеличивается при движении сверху вниз по столбцу и уменьшается при движении по строке слева направо.[21] Соответственно, самый маленький атом — это атом гелия, имеющий радиус 32 пм, а самый большой — атом цезия (225 пм).[22] Эти размеры в тысячи раз меньше длины волны видимого света (400—700 нм), поэтому атомы нельзя увидеть в оптический микроскоп. Однако отдельные атомы можно наблюдать с помощью сканирующего туннельного микроскопа.
Малость атомов демонстрируют следующие примеры. Человеческий волос по толщине в миллион раз больше атома углерода.[23] Одна капля воды содержит 2 секстиллиона (2×1021) атомов кислорода, и в два раза больше атомов водорода.[24] Один карат алмаза с массой 0,2 г состоит из 10 секстиллионов атомов углерода.[25] Если бы яблоко можно было увеличить до размеров Земли, то атомы достигли бы исходных размеров яблока.[26]
Учёные из Харьковского физико-технического института представили первые в истории науки снимки атома. Для получения снимков учёные использовали электронный микроскоп, фиксирующий излучения и поля (field-emission electron microscope, FEEM). Физики последовательно разместили десятки атомов углерода в вакуумной камере и пропустили через них электрический разряд в 425 вольт. Излучение последнего атома в цепочке на фосфорный экран позволило получить изображение облака электронов вокруг ядра.[27]
Радиоактивный распад[]
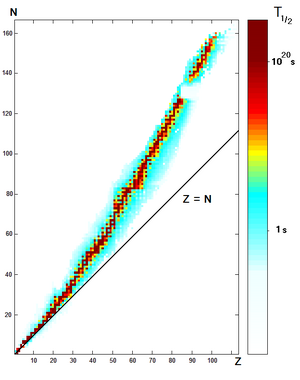
Диаграмма времени полураспада (T½) в секундах для различных изотопов с Z протонами и N нейтронами.
У каждого химического элемента есть один или более изотопов с нестабильными ядрами, которые подвержены радиоактивному распаду, в результате чего атомы испускают частицы или электромагнитное излучение. Радиоактивность возникает, когда радиус ядра больше радиуса действия сильных взаимодействий (расстояний порядка 1 фм[28]).
Существуют три основные формы радиоактивного распада[29][30]:
- Альфа-распад происходит, когда ядро испускает альфа-частицу — ядро атома гелия, состоящее из двух протонов и двух нейтронов. В результате испускания этой частицы возникает элемент с меньшим на два атомным номером.
- Бета-распад происходит из-за слабых взаимодействий, и в результате нейтрон превращается в протон или наоборот. В первом случае происходит испускание электрона и антинейтрино, во втором — испускание позитрона и нейтрино. Электрон и позитрон называют бета-частицами. Бета-распад увеличивает или уменьшает атомный номер на единицу. К бета-распаду относят и обратный процесс - электронный захват, когда один из протонов атомного ядра захватывает орбитальный электрон и превращается в нейтрон, испуская электронное нейтрино.
- Гамма-излучение происходит из-за перехода ядра в состояние с более низкой энергией с испусканием электромагнитного излучения. Гамма-излучение может происходить вслед за испусканием альфа- или бета-частицы после радиоактивного распада.
Каждый радиоактивный изотоп характеризуется периодом полураспада, то есть временем, за которое распадается половина ядер образца. Это экспоненциальный распад, который вдвое уменьшает количество оставшихся ядер за каждый период полураспада. Например, по прошествии двух периодов полураспада в образце останется только 25 % ядер исходного изотопа.[28]
Магнитный момент[]
Элементарные частицы обладают внутренним квантовомеханическим свойством известным как спин. Оно аналогично угловому моменту объекта вращающегося вокруг собственного центра масс, хотя строго говоря, эти частицы являются точечными и нельзя говорить об их вращении. Спин измеряют в единицах приведённой планковской постоянной (), тогда электроны, протоны и нейтроны имеют спин равный ½ . В атоме электроны обращаются вокруг ядра и обладают орбитальным угловым моментом помимо спина, в то время как ядро само по себе имеет угловой момент благодаря ядерному спину.[31]
Магнитное поле, создаваемое магнитным моментом атома, определяется этими различными формами углового момента, как и в классической физике вращающиеся заряженные объекты создают магнитное поле. Однако, наиболее значительный вклад происходит от спина. Благодаря свойству электрона, как и всех фермионов, подчиняться правилу запрета Паули, по которому два электрона не могут находиться в одном и том же квантовом состоянии, связанные электроны спариваются друг с другом, и один из электронов находится в состоянии со спином вверх, а другой — с противоположной проекцией спина — состояние со спином вниз. Таким образом магнитные моменты электронов сокращаются, уменьшая полный магнитный дипольный момент системы до нуля в некоторых атомах с чётным числом электронов.[32]
В ферромагнитных элементах, таких как железо, нечётное число электронов приводит к появлению неспаренного электрона и к ненулевому полному магнитному моменту. Орбитали соседних атомов перекрываются, и наименьшее энергетическое состояние достигается, когда все спины неспаренных электронов принимают одну ориентацию, процесс известный как обменное взаимодействие. Когда магнитные моменты ферромагнитных атомов выравниваются, материал может создавать измеримое макроскопическое магнитное поле. Парамагнитные материалы состоят из атомов, магнитные моменты которых разориентированы в отсутствии магнитного поля, но магнитные моменты отдельных атомов выравниваются при приложении магнитного поля.[32][33]
Ядро атома тоже может обладать ненулевым полным спином. Обычно при термодинамическом равновесии спины ядер ориентированы случайным образом. Однако, для некоторых элементов (таких как ксенон-129) возможно поляризовать значительную часть ядерных спинов для создания состояния с сонаправленными спинами —состояния называемого гиперполяризацией. Это состояние имеет важное прикладное значение в магнитно-резонансной томографии.[34][35]
Энергетические уровни[]
Когда электрон находится в связанном состоянии в атоме, он обладает потенциальной энергией, которая обратно пропорциональна его расстоянию от ядра. Эта энергия обычно измеряется в электронвольтах (эВ) и равна энергии, которую надо передать электрону, чтобы сделать его свободным (оторвать от атома). Согласно квантовомеханической модели атома связанный электрон может занимать только дискретный набор разрешённых энергетических уровней — состояний с определённой энергией. Наинизшее из разрешённых энергетических состояний называется основным, а все остальные — возбуждёнными.[36]
Для перехода электрона с одного энергетического уровня на другой нужно передать ему или отнять у него энергию. Это происходит путём соответственно поглощения или испускания фотона, причём энергия этого фотона равна абсолютной величине разности энергий начального и конечного уровней электрона. Энергия испущенного фотона пропорциональна его частоте, поэтому переходы между разными энергетическими уровнями проявляются в различных областях электромагнитного спектра.[37] Каждый элемент имеет уникальный спектр испускания, который зависит от заряда ядра, заполнения электронных подоболочек, взаимодействия электронов, а также других факторов.[38]
Пример линейного спектра поглощения
Когда излучение с непрерывным спектром проходит через вещество (например, газ или плазму), некоторые фотоны поглощаются атомами или ионами, вызывая электронные переходы между энергетическим состояниями, разность энергий которых равна энергии поглощённого фотона. Затем эти возбуждённые электроны спонтанно переходят на уровень, лежащий ниже по энергии, снова испуская фотоны. Таким образом, вещество ведёт себя как фильтр, превращая исходный непрерывный спектр в спектр поглощения, в котором имеются серии тёмных полос. При наблюдении с тех углов, куда не направлено исходное излучение, можно заметить излучение с эмиссионным спектром, испускаемое атомами. Спектроскопические измерения энергии, амплитуды и ширины спектральных линий излучения позволяют определить вид излучающего вещества и физические условия в нём.[39]
Более детальный анализ спектральных линий показал, что некоторые из них обладают тонкой структурой, то есть расщеплены на несколько близких линий. В узком смысле «тонкой структурой» спектральных линий принято называть их расщепление, происходящее из-за спин-орбитального взаимодействия между спином и вращательным движением электрона.[40]
Взаимодействие магнитных моментов электрона и ядра приводит к сверхтонкому расщеплению спектральных линий, которое, как правило, меньше, чем тонкое.
Если поместить атом во внешнее магнитное поле, то также можно заметить расщепление спектральных линий на две, три и более компонент — это явление называется эффектом Зеемана. Он вызван взаимодействием внешнего магнитного поля с магнитным моментом атома, при этом в зависимости от взаимной ориентации момента атома и магнитного поля энергия данного уровня может увеличиться или уменьшиться. При переходе атома из одного расщеплённого состояния в другое будет излучаться фотон с частотой, отличной от частоты фотона при таком же переходе в отсутствие магнитного поля. Если спектральная линия при помещении атома в магнитное поле расщепляется на три линии, то такой эффект Зеемана называется нормальным (простым). Гораздо чаще в слабом магнитном поле наблюдается аномальный (сложный) эффект Зеемана, когда происходит расщепление на 2, 4 или более линий (аномальный эффект происходит из-за наличия спина у электронов). При увеличении магнитного поля вид расщепления упрощается, и аномальный эффект Зеемана переходит в нормальный (эффект Пашена — Бака).[41] Присутствие электрического поля также может вызвать сравнимый по величине сдвиг спектральных линий, вызванный изменением энергетических уровней. Это явление известно как эффект Штарка.[42]
Если электрон находится в возбуждённом состоянии, то взаимодействие с фотоном определённой энергии может вызвать вынужденное излучение дополнительного фотона с такой же энергией — для этого должен существовать более низкий уровень, на который возможен переход, и разность энергий уровней должна равняться энергии фотона. При вынужденном излучении эти два фотона будут двигаться в одном направлении и иметь одинаковую фазу. Это свойство используется в лазерах, которые могут испускать когерентный пучок света в узком диапазоне частот.[43]
Валентность[]
Внешняя электронная оболочка атома, если она не полностью заполнена, называется валентной оболочкой, а электроны этой оболочки называются валентными электронами. Число валентных электронов определяет то, как атом связывается с другими атомами посредством химической связи. Путём образования химических связей атомы стремятся заполнить свои внешние валентные оболочки.[44]
Чтобы показать повторяющиеся химические свойства химических элементов, их упорядочивают в виде периодической таблицы. Элементы с одинаковым числом валентных электронов формируют группу, которая изображается в таблице в виде столбца (движение по горизонтальному ряду соответствуют заполнению валентной оболочки электронами). Элементы, находящиеся в самом правом столбце таблицы, имеют полностью заполненную электронами внешнюю оболочку, поэтому они отличаются крайне низкой химической активностью и называются инертными или благородными газами.[45][46]
Дисперсионное притяжение[]
Важным свойством атома является его склонность к дисперсионному притяжению. Происхождение дисперсионных сил было объяснено в 1930 году Ф. Лондоном. Межатомное взаимодействие возникает вследствие флуктуаций заряда в двух атомах, находящихся близко друг от друга. Поскольку электроны движутся, каждый атом обладает мгновенным дипольным моментом, отличным от нуля. Если бы флуктуации электронной плотности в двух атомах были бы несогласованными, то не было бы результирующего притяжения между атомами. Однако мгновенный диполь на одном атоме наводит противоположно направленный диполь в соседнем атоме. Эти диполи притягиваются друг к другу за счёт возникновения силы притяжения, которая называется дисперсионной силой, или силой Лондона. Энергия такого взаимодействия прямо пропорциональна квадрату электронной поляризуемости атома α и обратно пропорциональна r6, где r — расстояние между двумя атомами.[47]
Деформационная поляризация атома[]
Деформационная поляризация проявляется в присущей атомам способности к упругой деформации их электронных оболочек под действием электромагнитных полей. Сегодняшнее понимание являения деформационной поляризации основано на представлениях о конечной упругости электронных оболочек атомов под действием электрического поля[48]. Снятие внешнего электрического поля приводит к восстановлению электронной оболочки атома.
Деформация электронной оболочки атома приводит к смещению электронной плотности в атоме, что сопровождается образованием наведённого электрического дипольного момента μ. Дипольный момент равен произведению величины положительного заряда q на расстояние между зарядами L и направлен от отрицательного заряда к положительному μ=qL. В относительно слабых электрических полях наведённый дипольный момент пропорционален напряжённости электрического поля E. μ =αeE, где αe - электронная поляризуемость атома. Наибольшее значение электронной поляризуемости наблюдается у атомов щелочных металлов, а минимальное у атомов благородных газов.
Ионизация атома[]
Рис. Зависимость энергии ионизации атомов от порядкового номера элемента.
При высоких значениях напряжённости приложенного электрического поля наблюдается необратимая деформация атома, сопровождающаяся отрывом электрона.
Происходит ионизация атома, атом отдаёт электрон и превращается в положительно заряженный ион - катион. Отрыв электрона от атома требует затраты энергии, называемой потенциалом ионизации или энергией ионизации.
Энергия ионизации атома сильно зависит от его электронной конфигурации. Изменение энергии отрыва первого электрона в зависимости от порядкового номера элемента приведено на рисунке.
Наименьшей энергией ионизации обладают атомы щелочных металлов, наибольшей - атомы благородных газов.
Для многоэлектронных атомов энергия ионизации I1, I2, I3... соответствует отрыву первого, второго, третьего и т.д. электронов.
Взаимодействие атома с электроном[]
Рис. 2 Зависимость сродства к электрону атома от порядкового номера элемента
Атомы могут, в той или иной степени, присоединять добавочный электрон и превращаться в отрицательный ион - анион.
Энергетический эффект процесса присоединения к нейтральному атому (Э) принято называть энергией сродства к электрону. Э + e- → Э-
На рисунке представлена зависимость энергии сродства к электрону атомов от порядкового номера элемента. Наибольшим сродством к электрону обладают атомы галогенов (3-4 эВ):
F 3,62 ± 0,09 эВ; Cl 3,82 ± 0,06 эВ; Br 3,54 ± 0,06 эВ; I 3,23 ± 0,06 эВ.[49]
Электроотрицательность атома[]
Электроотрицательность атома (χ) - фундаментальное свойство атома смещать к себе общие электронные пары в молекуле. Способность атома данного элемента к оттягиванию на себя электронной плотности по сравнению с другими элементами соединения зависит от энергии ионизации атома и его сродства к электрону. Согласно одному из определений (по Малликену) электроотрицательность атома (χ) может быть выражена как полусумма его энергии ионизации (i) и сродства к электрону (F):
Имеется около двадцати шкал электроотрицательности атома, в основу расчёта значений которых положены различные свойства веществ. Полученные значения разных шкал отличаются, но относительное расположение элементов в ряду электроотрицательностей примерно одинаково.
Детальный поиск взаимосвязи между шкалами электроотрицательности позволил сформулировать новый подход к выбору практической шкалы электроотрицательностей атомов.[50]
См. также[]
Примечания[]
- ↑ 1,0 1,1 Большой энциклопедический словарь. Физика / гл. ред. А. М. Прохоров. — М.: Большая Российская энциклопедия, 1998. — С. 36. — 944 с. (см. ISBN )
- ↑ 2,0 2,1 Атом — статья из Большой советской энциклопедии
- ↑ Химический энциклопедический словарь / гл. ред. И.Л. Кнунянц. — М.: Сов. энциклопедия, 1983. — С. 58. — 792 с. (см. ISBN )
- ↑ [1], Atom//IUPAC Gold Book.
- ↑ Демокрит // Школьная энциклопедия «Руссика». История Древнего мира / А. О. Чубарьян. — М.: Olma Media Group, 2003. — С. 281—282. — 815 с. — ISBN 5-948-49307-5. (см. ISBN )
- ↑ http://www.ido.rudn.ru/nfpk/fizika/mkt/1.html Планетарная модель атома]
- ↑ Demtröder, 2002
- ↑ Woan, 2000
- ↑ MacGregor, 1992
- ↑ The Particle Adventure. Particle Data Group. Lawrence Berkeley Laboratory (2002). Проверено 3 января 2009. Архивировано из первоисточника 21 августа 2011.
- ↑ James Schombert. Elementary Particles. University of Oregon (18 апреля 2006). Проверено 3 января 2007. Архивировано из первоисточника 21 августа 2011.
- ↑ Howard S. Matis. The Isotopes of Hydrogen. Guide to the Nuclear Wall Chart. Lawrence Berkeley National Lab (9 августа 2000). Проверено 21 декабря 2007. Архивировано из первоисточника 21 августа 2011.
- ↑ Rick Weiss. Scientists Announce Creation of Atomic Element, the Heaviest Yet. Washington Post (17 октября 2006). Проверено 21 декабря 2007. Архивировано из первоисточника 21 августа 2011.
- ↑ 14,0 14,1 Sills, 2003
- ↑ Belle Dumé. Bismuth breaks half-life record for alpha decay. Physics World (23 апреля 2003). Проверено 21 декабря 2007. Архивировано из первоисточника 21 августа 2011.
- ↑ 16,0 16,1 Mills и др. (1993).
- ↑ Chung Chieh. Nuclide Stability. University of Waterloo (22 января 2001). Проверено 4 января 2007.
- ↑ Atomic Weights and Isotopic Compositions for All Elements. National Institute of Standards and Technology. Проверено 4 января 2007. Архивировано из первоисточника 21 августа 2011.
- ↑ G. Audi, A. H. Wapstra, C. Thibault. (2003). "The Ame2003 atomic mass evaluation (II)". Nuclear Physics A729: 337–676. Retrieved on 2008-02-07.
- ↑ R. D. Shannon. (1976). "Revised effective ionic radii and systematic studies of interatomic distances in halides and chalcogenides". Acta Crystallographica, Section A 32: 751. doi:10.1107/S0567739476001551. Retrieved on 2007-01-03.
- ↑ Judy Dong. Diameter of an Atom. The Physics Factbook (1998). Проверено 19 ноября 2007. Архивировано из первоисточника 21 августа 2011.
- ↑ Zumdahl, 2002
- ↑ Small Miracles: Harnessing nanotechnology(недоступная ссылка — история). Oregon State University (2007). Проверено 7 января 2007.(недоступная ссылка — история) — описывает толщину человеческого волоса как 105 нм и 10 углеродных атомов по толщине как 1 нм.
- ↑ «There are 2 000 000 000 000 000 000 000 (that’s 2 sextillion) atoms of oxygen in one drop of water—and twice as many atoms of hydrogen» // Padilla et al., 2002, p. 32
- ↑ Карат равен 200 миллиграмм. По определению, углерод-12 имеет 12 грамм на моль. Постоянная Авогадро равна 6,02×1023 атомов на моль.
- ↑ Feynman, 1995
- ↑ First Detailed Photos of Atoms(недоступная ссылка — история). Inside Science News Service (14 сентября 2009). Проверено 16 сентября 2009.(недоступная ссылка — история)
- ↑ 28,0 28,1 Radioactivity. Splung.com. Проверено 19 декабря 2007. Архивировано из первоисточника 21 августа 2011.
- ↑ L’Annunziata (2003).
- ↑ Richard B. Firestone. Radioactive Decay Modes. Berkeley Laboratory (22 мая 2000). Проверено 7 января 2007. Архивировано из первоисточника 21 августа 2011.
- ↑ J. P. Hornak. Chapter 3: Spin Physics. The Basics of NMR(недоступная ссылка — история). Rochester Institute of Technology (2006). Проверено 20 марта 2011.(недоступная ссылка — история)
- ↑ 32,0 32,1 Paul A. Schroeder. Magnetic Properties(недоступная ссылка — история). University of Georgia (22 февраля 2000). Проверено 7 января 2007.(недоступная ссылка — история)
- ↑ Greg Goebel. [4.3] Magnetic Properties of the Atom. Elementary Quantum Physics. In The Public Domain website (1 сентября 2007). Проверено 7 января 2007. Архивировано из первоисточника 21 августа 2011.
- ↑ Lynn Yarris. (весна 1997). "Talking Pictures". Berkeley Lab Research Review. Retrieved on 2008-01-09. (недоступная ссылка — история)
- ↑ Liang, Haacke, 1999
- ↑ Bart J. Van Zeghbroeck. Energy levels. Shippensburg University (1998). Проверено 23 декабря 2007.
- ↑ Fowles, 1989
- ↑ W. C. Martin, W. L. Wiese. Atomic Spectroscopy: A Compendium of Basic Ideas, Notation, Data, and Formulas. National Institute of Standards and Technology (май 2007). Проверено 8 января 2007. Архивировано из первоисточника 21 августа 2011.
- ↑ Atomic Emission Spectra — Origin of Spectral Lines. Avogadro Web Site. Проверено 10 августа 2006. Архивировано из первоисточника 21 августа 2011.
- ↑ Richard Fitzpatrick. Fine structure. University of Texas at Austin (16 февраля 2007). Проверено 14 февраля 2008. Архивировано из первоисточника 21 августа 2011.
- ↑ Michael Weiss. The Zeeman Effect. University of California-Riverside (2001). Проверено 6 февраля 2008. Архивировано из первоисточника 21 августа 2011.
- ↑ Beyer, 2003
- ↑ Thayer Watkins. Coherence in Stimulated Emission. San José State University. Проверено 23 декабря 2007. Архивировано из первоисточника 21 августа 2011.
- ↑ William Reusch. Virtual Textbook of Organic Chemistry. Michigan State University (16 июля 2007). Проверено 11 января 2008. Архивировано из первоисточника 21 августа 2011.
- ↑ Husted Robert и др. Periodic Table of the Elements. Los Alamos National Laboratory (11 декабря 2003). Проверено 11 января 2008. Архивировано из первоисточника 21 августа 2011.
- ↑ Rudy Baum. It’s Elemental: The Periodic Table. Chemical & Engineering News (2003). Проверено 11 января 2008. Архивировано из первоисточника 21 августа 2011.
- ↑ Даниэльс Ф., Олберти Р. Физическая химия / под ред. К.В.Топчиевой. — М.: Мир, 1978. — С. 453. — 646 с. (см. ISBN )
- ↑ Потапов А.А. Деформационная поляризация. Поиск оптимальных моделей. — Новосибирск: "Наука", 2004. — 511 с. (см. ISBN )
- ↑ Справочник химика. — II-ое, перераб. и доп.. — Л.-М.: ГНТИ Химической литературы, 1962. — Т. I. — С. 328. — 1072 с. (см. ISBN )
- ↑ Филиппов Г.Г., Горбунов А.И. Новый подход к выбору практической шкалы электроотрицательностей атомов. — Российский химический журнал, 1995. — Т. 39, вып.2. — С. 39-42. (см. ISBN )
Литература[]
- Бете Г., Солпитер Э. Квантовая механика атомов с одним и двумя электронами. — М.: Физматгиз, 1960. — 562 с. (см. ISBN )
- Бейдер Р. Атомы в молекулах. Квантовая теория. М.: Мир, 2001. — 532 c.
- Веселов М. Г., Лабзовский Л. Н. Теория атома: Строение электронных оболочек. — М.: Наука, 1986. — 328 с. (см. ISBN )
- Зоммерфельд А. Строение атома и спектры. Том 1 — М.: ГИТТЛ, 1956.
- Зоммерфельд А. Строение атома и спектры. Том 2 — М.: ГИТТЛ, 1956.
- Шпольский Э. В. Атомная физика. Том 2. Основы квантовой механики и строение электронной оболочки атома 4-е изд. — М.: Наука, 1974.
- На английском языке
- Michael F. L’Annunziata. Handbook of Radioactivity Analysis. — 2003. — ISBN 0-12-436603-1. (см. ISBN )
- H. F. Beyer, V. P. Shevelko. Introduction to the Physics of Highly Charged Ions. — CRC Press, 2003. — ISBN 0-75-030481-2. (см. ISBN )
- Gregory R. Choppin, Jan-Olov Liljenzin, Jan Rydberg. Radiochemistry and Nuclear Chemistry. — Elsevier, 2001. — ISBN 0-75-067463-6. (см. ISBN )
- J. Dalton. A New System of Chemical Philosophy, Part 1. — London and Manchester: S. Russell, 1808. (см. ISBN )
- Wolfgang Demtröder. Atoms, Molecules and Photons: An Introduction to Atomic- Molecular- and Quantum Physics. — 1st ed. — Springer, 2002. — ISBN 3-540-20631-0. (см. ISBN )
- Richard Feynman. Six Easy Pieces. — The Penguin Group, 1995. — ISBN 978-0-140-27666-4. (см. ISBN )
- Grant R. Fowles. Introduction to Modern Optics. — Courier Dover Publications, 1989. — ISBN 0-48-665957-7. (см. ISBN )
- Mrinalkanti Gangopadhyaya. Indian Atomism: History and Sources. — Atlantic Highlands, New Jersey: Humanities Press, 1981. — ISBN 0-391-02177-X. (см. ISBN )
- David L. Goodstein. States of Matter. — Courier Dover Publications, 2002. — ISBN 0-48-649506-X. (см. ISBN )
- Edward Robert Harrison. Masks of the Universe: Changing Ideas on the Nature of the Cosmos. — Cambridge University Press, 2003. — ISBN 0-52-177351-2. (см. ISBN )
- Tatjana Jevremovic. Nuclear Principles in Engineering. — Springer, 2005. — ISBN 0-38-723284-2. (см. ISBN )
- James Lequeux. The Interstellar Medium. — Springer, 2005. — ISBN 3-540-21326-0. (см. ISBN )
- Z.-P. Liang, E. M. Haacke. Encyclopedia of Electrical and Electronics Engineering: Magnetic Resonance Imaging / J. G. Webster. — John Wiley & Sons, 1999. — Т. 2. — P. 412—26. — ISBN 0-47-113946-7. (см. ISBN )
- Malcolm H. MacGregor. The Enigmatic Electron. — Oxford University Press, 1992. — ISBN 0-19-521833-7. (см. ISBN )
- Oliver Manuel. Origin of Elements in the Solar System: Implications of Post-1957 Observations. — Springer, 2001. — ISBN 0-30-646562-0. (см. ISBN )
- Robert M. Mazo. Brownian Motion: Fluctuations, Dynamics, and Applications. — Oxford University Press, 2002. — ISBN 0-19-851567-7. (см. ISBN )
- Ian Mills, Tomislav Cvitaš, Klaus Homann, Nikola Kallay, Kozo Kuchitsu. Quantities, Units and Symbols in Physical Chemistry. — 2nd ed. — Oxford: International Union of Pure and Applied Chemistry, Commission on Physiochemical Symbols Terminology and Units, Blackwell Scientific Publications, 1993. — ISBN 0-632-03583-8. (см. ISBN )
- Richard Myers. The Basics of Chemistry. — Greenwood Press, 2003. — ISBN 0-31-331664-3. (см. ISBN )
- Michael J. Padilla, Ioannis Miaoulis, Martha Cyr. Prentice Hall Science Explorer: Chemical Building Blocks. — Upper Saddle River, New Jersey USA: Prentice-Hall, 2002. — ISBN 0-13-054091-9. (см. ISBN )
- Linus Pauling. The Nature of the Chemical Bond. — Cornell University Press, 1960. — ISBN 0-80-140333-2. (см. ISBN )
- Jeremy I. Pfeffer, Shlomo Nir. Modern Physics: An Introductory Text. — Imperial College Press, 2000. — ISBN 1-860-94250-4. (см. ISBN )
- Leonid Ivanovich Ponomarev. The Quantum Dice. — CRC Press, 1993. — ISBN 0-75-030251-8. (см. ISBN )
- J. Kenneth Shultis, Richard E. Faw. Fundamentals of Nuclear Science and Engineering. — CRC Press, 2002. — ISBN 0-82-470834-2. (см. ISBN )
- Robert Siegfried. From Elements to Atoms: A History of Chemical Composition. — DIANE, 2002. — ISBN 0-87-169924-9. (см. ISBN )
- Alan D. Sills. Earth Science the Easy Way. — Barron’s Educational Series, 2003. — ISBN 0-76-412146-4. (см. ISBN )
- Boris M. Smirnov. Physics of Atoms and Ions. — Springer, 2003. — ISBN 0-38-795550-X. (см. ISBN )
- Dick Teresi. Lost Discoveries: The Ancient Roots of Modern Science. — Simon & Schuster, 2003. — P. 213—214. — ISBN 0-74-324379-X. (см. ISBN )
- Graham Woan. The Cambridge Handbook of Physics. — Cambridge University Press, 2000. — ISBN 0-52-157507-9. (см. ISBN )
- Charles Adolphe Wurtz. The Atomic Theory. — New York: D. Appleton and company, 1881. (см. ISBN )
- Marco Zaider, Harald H. Rossi. Radiation Science for Physicians and Public Health Workers. — Springer, 2001. — ISBN 0-30-646403-9. (см. ISBN )
- Steven S. Zumdahl. Introductory Chemistry: A Foundation. — 5th ed. — Houghton Mifflin, 2002. — ISBN 0-618-34342-3. (см. ISBN )
Ссылки[]
- Атом. Химическая энциклопедия. Проверено 3 марта 2008. Архивировано из первоисточника 21 августа 2011.
- Атом в Физической энциклопедии
- Eden Francis. Atomic Size. Clackamas Community College (2002). Проверено 9 января 2007. Архивировано из первоисточника 21 августа 2011.
- Craig C. Freudenrich. How Atoms Work. How Stuff Works. Проверено 9 января 2007. Архивировано из первоисточника 21 августа 2011.
- The atom. Science aid+ (2007). — A guide to the atom for teens. Проверено 9 января 2007. Архивировано из первоисточника 21 августа 2011.
- Atoms and Atomic Structure. Би-би-си (3 января 2006). Проверено 11 января 2007. Архивировано из первоисточника 21 августа 2011.
- Physics 2000. University of Colorado (3 января 2006). Проверено 11 января 2008. Архивировано из первоисточника 21 августа 2011.
- Украинские ученые впервые сфотографировали атом (16 сентября 2009). Архивировано из первоисточника 21 августа 2011.
- Ученые изолировали, захватили и сфотографировали атом Рубидия 85 (1 октября 2010). Проверено 1 октября 2010. Архивировано из первоисточника 2 февраля 2012.
- Строение атома
- Спектры атомов. Проверено 10 октября 2010. Архивировано из первоисточника 21 августа 2011.
- Структура атомов, учебный фильм. Проверено 10 октября 2010. Архивировано из первоисточника 21 августа 2011.
| ||||||||||||||||||||||
- Страница 0 - краткая статья
- Страница 1 - энциклопедическая статья
- Разное - на страницах: 2 , 3 , 4 , 5
- Прошу вносить вашу информацию в «Атом 1», чтобы сохранить ее